
麥克默瑞提克(上海)儀器有限公司
金牌會員
已認證

麥克默瑞提克(上海)儀器有限公司
金牌會員
已認證
我們在測試微孔材料時,經常會出現低壓區等溫線“拐彎”或中高壓區等溫線吸附支遞減和脫附支上揚的異常現象,這分別是由于氦中毒和氦吸附引起的。本篇將為大家講解導致這些現象的背后原因以及避免出現這些問題的應對方法。
氦中毒
常見于微孔材料的氣體吸附,若在氣體吸附前,先使用氦氣對含樣品的樣品管進行自由空間測量,則由于微孔孔道狹小,氦氣“鉆”入這些微孔道內后,很難快速地向外擴散排除,導致在低壓區測試時,后續氦氣分子持續向孔道外緩慢擴散,干擾正常的吸附過程,形成典型的在低壓區的回折形吸附等溫線。

圖1. 氦中毒等溫線
這種低壓區回折的現象,也可以出現在脫氣不干凈的微孔材料測試時。此時孔道內在低壓時向外緩慢釋放的是未脫氣干凈的雜質氣體,造成的吸附干擾效果和氦中毒一致,但干擾持續時間可能會更久,回折可能更多,取決于雜志氣體是否容易脫附。
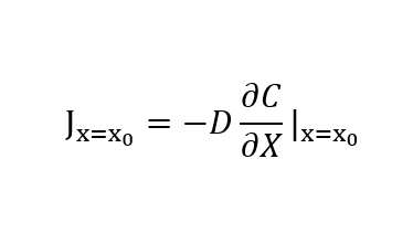
現在我們考慮沿 x 軸方向,在 X0 處的物質擴散通量 Jx :

圖2. X0 處氣體通量示意圖
在 X0 處的氣體濃度為 C,其凈通量 Jx=x0 和吸附質氣體的吸脫附速率及氦氣的擴散速率或雜質氣體的吸脫附速率有關,以雜質氣體(如微孔分子篩內的吸附水分子)為例:

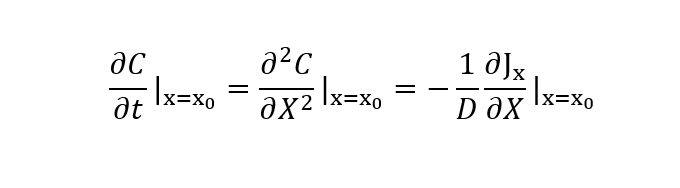
非穩態有:

樣品管內氣壓的變化 dP 等于 Jx=x0 · dt,且:

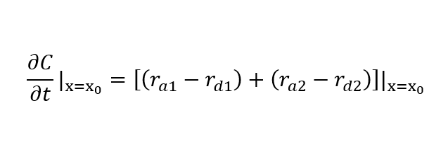
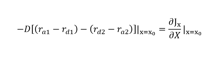
這里 ra1,ra2 分別為吸附質和雜質氣體的吸附速率,對于氦氣,其吸附速率為 0。rd1,rd2 分別為吸附質和雜質氣體的脫附速率。我們令 r 凈吸附 = ra1 - rd1,r 凈排氣 = rd2 - ra2 時,則有:

可見 X0 處的氣體通量變化(直接影響樣品管內氣壓變化)受吸附質氣體凈吸附速率和雜質氣體凈排氣速率 / 氦氣排氣速率控制。吸附質氣體的凈吸附速率受孔徑分布影響,而雜質氣體凈排氣速率 / 氦氣排氣速率隨著吸附測試的進行而減小。
所以,綜合下來在低壓區,可正可負,導致最終平衡壓力出現回折。

隨著測試壓力進入中高壓區,雜質氣體或氦氣的排放逐漸減弱,始終為正,回折消失。

但一些外比表非常小的純微孔材料,由于在中高壓區的凈吸附很小,若此時雜質氣體或氦氣還未排干凈,則可能導致為負,從而出現吸附支遞減現象。

為了避免出現微孔材料吸附等溫線回折的現象,我們建議:
a.微孔材料需要充分脫氣,并在樣品管口塞入轉移塞(seal frit 或 transeal),必要時可以進一步在分析口進行原位脫氣。
b.微孔材料使用后測自由空間功能,后測自由空間時,使用液位棒控制液氮補充到合理液位。
c.使用 AccuPyc 獲得微孔材料的骨架密度,測試空樣品管的自由空間。利用空樣品管的自由空間和材料骨架密度,在吸附測試時利用計算法得到含樣品的樣品管的自由空間,整個測試過程不再使用氦氣。
接下來,我們討論另一個常見于微孔材料,尤其是硬碳材料的等溫線異常情況:氦吸附。
氦吸附
有別于氦中毒(氦氣的延遲擴散排出引起),氦吸附是指在測試自由空間的過程中,氦氣被微孔吸附在孔道內,并在后續測試溫度下保持吸附平衡,難以排出孔道,始終占據孔道。有理論和實驗數據證明,在存在極微孔(<0.5 nm)的情況下,液氮溫度下的氦氣吸附效應不可忽略。
由于在測量自由空間時,氦氣發生了吸附,這會導致測出的自由空間值偏大,從而引起吸附支的下降和脫附支的上升。
我們考慮一個吸脫附過程:

圖3. 吸脫附曲線及吸脫附量變化
根據質量守恒,對于從吸附平衡點 1 到下一個壓力下的吸附平衡點 2,我們有:

其中,adx 為 x 壓力點下的平衡吸附量,f(P) 為 P 的單調遞增函數,V 為自由空間(與熱及冷自由空間都有關),dose 為歧管注氣量。稍加整理我們可得:

注意,由于氦吸附的存在,自由空間 V 變大了,且由于 f(P1) - f(P2)<0,所以 dose + [f(P1) - f(P2)]V 這項可能會變為負數,即 ad2 < ad1,出現等溫線吸附支遞減。遞減的程度取決于氦氣吸附的嚴重程度。同樣的,我們也能推導出由于氦氣吸附引起的自由空間變大,使得脫附支上揚,這里不再推導累述。
為了避免氦氣吸附,我們建議氣體吸附側式過程中不再使用氦氣,即用樣品骨架密度結合空管自由空間值來計算含樣品的樣品管的自由空間值。Micromeritics 所有物理吸附儀器都可以使用這個自用空間的計算方法。當然我們首先需要通過 AccuPyc 得到微孔材料準確的骨架密度值,測試時使用控制溫度下的氦氣進行氣體置換,以減少氦氣吸附帶來的誤差。
最后值得注意的是,含有極微孔的微孔材料會受到氦吸附和氦中毒的共同影響,所以如果不了解微孔材料的孔道性質,保險起見使用計算法得到自由空間值。同時一定要對微孔樣品進行充分脫氣(一般是 300-350 度,12-18 小時),并使用轉移塞防止脫氣后的樣品接觸空氣,發生二次污染。
相關產品
更多
相關文章
更多
技術文章
2025-09-25技術文章
2025-08-13技術文章
2025-07-09技術文章
2025-04-28