
麥克默瑞提克(上海)儀器有限公司
金牌會員
已認證

麥克默瑞提克(上海)儀器有限公司
金牌會員
已認證

BJH方法簡介
BJH 方法一般適用于 7.5 nm 以上孔的孔徑、孔容和孔內表面積計算,此方法由三位科學家創立,并以他們姓氏首字母命名。在一個開口的孔中,隨著吸附質氣體壓力上升,在孔壁表面首先出現吸附層,其厚度由厚度方程計算。隨著壓力進一步上升,孔道內部發生毛細管凝聚,凝聚后彎曲液面上方的平衡氣相壓力與彎曲液面的平均曲率的關系由開爾文方程決定。厚度方程和開爾文方程是 BJH 方法中用到的兩個重要公式,一般結合吸脫附等溫線的脫附曲線,通過 BJH 方法,就可以計算材料的孔徑和孔內比表面積分布。
本文較長,建議收藏閱讀。
基于圓柱型孔的氮氣吸附BJH算法
步驟1:
首先將脫附等溫線上的點嚴格按照相對壓力 P/P0(以下稱壓力點或壓力)遞減的順序排列,以相鄰兩個壓力點作為一個壓力區間 [P i,P i+1],并以頭尾相連的方式寫入 BJH 方法表格第 3 列。表格第 1 列為壓力區間序號,以 i 表示。第 2 列為包含裸露孔的壓力區間序號,當計算某一壓力區間內孔徑分布時,此壓力區間之前所有包含裸露孔的壓力區間序號以 j 表示,字母 k 表示所有包含裸露孔的壓力區間總數。
從壓力區間 [P1, P2] 開始,根據開爾文公式(見式1)計算開爾文半徑 rm,k 。并將計算結果寫入表格第 4 列。
r m,k = - 0.414/lg (Pi /P0) (1)
* r m,k ——開爾文半徑,nm

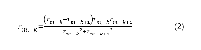
壓力區間 [Pi,Pi+1] 對應的平均開爾文半徑為 ˉrm, k,其等于:

將平均開爾文半徑 ˉrm, k 寫入表格第 5 列。
結合厚度方程,可以求得相對壓力對應的吸附層厚度 Tw, j,寫入第 6 列。
將每個相對壓力點對應的平衡脫附量與密度轉換因子 D 的乘積寫入表格第 7 列。第三列相鄰兩行的差值記作 ΔVd, i,為壓力 Pi 至 Pi+1 區間的液氮脫附體積,寫入第 8 列。
* D —— 密度轉換因子,為標況下氮氣密度與 77K 下液氮密度比值
* ΔVd, i —— 相鄰脫附相對壓力點之間的液氮脫附量,mL/g
每個脫附壓力點區間 [Pi,Pi+1] 的液氮脫附量可以由 2 部分組成:分別為此壓力區間內的毛細管凝聚脫附量和所有開爾文半徑小于 rm, k+1 的暴露孔之內壁上的吸附層厚度減少所貢獻的脫附量。
這里引入孔內核半徑 rc, j,它等于開爾文半徑 rm, j 加上累計吸附層厚度變化量 ∑ΔTwd, j 。孔內半徑是個動態變化量,每計算壓力區間 i,就需要重新計算,用于暴露孔的孔壁面積計算,寫入第 9 列。
rc, j = rm, j + ∑ΔTwd, j (3)
* rc, j —— 壓力區間i之前所有含暴露孔的區間內的孔內核半斤,nm
暴露的吸附層厚度減少量為 ΔTwd, i,根據不同的吸附層厚度和相對壓力的關系式,即厚度方程(見往期厚度方程應用筆記),可以計算某脫附壓力點區間 [Pi,Pi+1] 所對應的 ΔTwd, i,寫入表格第 10 列。從第 2 個相對壓力區間開始,計算每個脫附壓力區間之前的所有脫附壓力區間所對應的暴露吸附層厚度的累計脫附量 ΔVT, i(見下式),并寫入表格第 11 列。

* LP, j —— 壓力點區間 j 內孔的長度(計算方法見式(8)),nm/g
* ΔTwd, i —— 相對壓力點區間 [Pi,Pi+1] 所對應的吸附層厚度變化,nm
* ΔVT, i —— 累積到脫附壓力區間 j 的吸附層厚度脫附量,mL/g
步驟 2a:
先開始計算比較第一個壓力區間,再逐步按次序計算比較之后壓力區間。
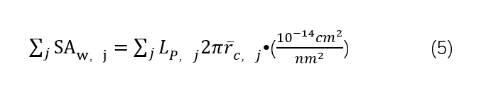
比較第 8 列與第 11 列的值大小,若 ΔVd, i<ΔVT, i,則在壓力區間 i,即壓力范圍 [Pi,Pi+1] 內沒有孔內脫附量,只有所有壓力區間 j 內累計的吸附層脫附量,所有壓力區間j內暴露的累計孔壁面 ∑SAw,j 為:

其中 ˉrc, j 的計算方法可參照式(2),寫入第 12 列。將 ∑SAw, j 寫入第 13 列。
* SAw, j —— 孔壁面積,cm2/g
同時,根據實際脫附量 ΔVd, i 計算實際壓力區間 i 內的厚度層變化,并寫入第 14 列:

并更新第 9 列數值,rc, j更新 = rc, j + ΔTwd,i修正 。
相關閱讀


步驟 2b:
比較第 8 列與第 11 列值的大小,若 ΔVd, i> ΔVT, i,則 ΔVd, i - ΔVT, i = ΔVC, i,ΔVC, i 為壓力區間 i 所對應的孔內脫附量。將此壓力區間內的平均孔徑 ˉrm, k 帶入開爾文方程,可以得到平均毛細管凝聚壓力 ˉPk,再將 ˉPk 帶入厚度方程可得此平均毛細管凝聚壓力下的平均吸附層厚度ˉTw, k 。則此壓力區間 i 所對應的暴露孔的吸附層厚度變化量 ΔTwd, k = ˉTw, k - Tw, i+1。Tw, i+1 可通過將壓力 Pi+1 帶入厚度方程求得。
* ΔVC, i —— 壓力區間i所對應的孔內脫附量,ml/g
* ˉPk —— 平均毛細管凝聚壓力,Pa
* ˉTw, k —— 平均吸附層厚度,nm
* ΔTwd, k —— 吸附層厚度變化量,nm
壓力區間 i 內新裸露的孔的平均橫截面積 GSAc, k為:

通過式(7)可以計算新裸露孔的長度 Lp, k,并寫入第 15 列。

并更新第 9 列數值,rc, j更新 = rc, j + ΔTwd, i (注意這里不修正 ΔTwd, i)。同時更新 ˉrk更新, ˉrk更新 = ˉrk + ΔTwd, k,并寫入第 12 列。
對于每一個壓力區間 i,都重復步驟 1 和 2。

步驟3:
不斷重復步驟 1 和 2 并計算完最后一個壓力區間后,會得到 K個包含裸露孔的壓力區間,并將第 9 列數值乘以 2 得到第 16 列孔直徑 Dp, j。將第 16 列相鄰兩行數值按式(2)的形式計算得到壓力區間j內的平均孔徑 ˉDp, j,并寫入第 17 列。
* ˉDp, j —— 平均孔直徑,nm
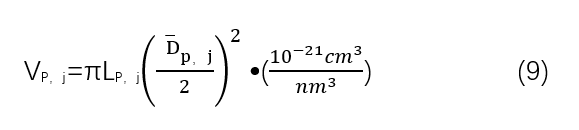
計算孔體積增量 VP, j,并寫入第 18 列:

* VP, j —— 孔體積增量,mL/g
注:孔體積增量包含Vp, k。
將第 18 列數值累加寫入第 19 列,得到累計孔體積。
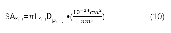
計算孔內面積增量 SAP, j,并寫入第 20 列:

* SAP, j —— 孔內面積增量,cm2/g
注:孔內面積增量包含 SAp, k。
將第 20 列數值累加寫入第 21 列,得到累計孔內面積。
計算體積 - 孔徑分布 (dVp/dDp) j,并寫入第 22 列:

(dVp/dDp) j —— 孔體積變化與孔徑變化比,cm3/(g?nm)
注:孔體積變化與孔徑變化比包含 (dVp/dDp)k 。
計算體積 -log 孔徑分布 (dVp/dlogDp) j,并寫入第 23 列:

* (dVp/dlogDp)j —— 孔體積變化與孔徑 log 值變化比,cm3/g
注:孔體積變化與孔徑 log 值變化比包含 (dVp/dlogDp)k 。
將式(10)和(11)中的 Vp, j 替換為 SAp, j,可分別得面積 — 孔徑分布 (dSAp/dDp)j 和面積 — log 孔徑分布 (dSAp/dlogDp)j,分別寫入第 24 列和第 25 列。
注:第 24,25 列都包含第 k 項。
以第 22 或 23 列數值作為縱坐標,以第 17 列為橫坐標,繪制可得體積 —(log)孔徑分布圖;以第 24 或 25 列數值作為縱坐標,以第 17 列為橫坐標,繪制可得面積 —(log)孔徑分布圖。
其它孔型
其他常見介孔孔形還有狹縫形、球形和墨水瓶形等,不同的孔形其平均曲率不同,孔體積和孔面積的計算方法也不一樣。同時,脫附過程也會伴隨新的現象,如墨水瓶形孔的瓶頸效應和氣穴效應等。使用 BJH 方法結算其他孔形的孔徑分布時,需考慮以上各點對 BJH 方法做出修正。
相 關 內 容
學習更多物理吸附相關內容
可觀看我們的線上用戶培訓

關于麥克默瑞提克
Micromeritics 是提供表征顆粒、粉體和多孔材料的物理性能、化學活性和流動性的全球高性能設備生產商。我們能夠提供一系列行業前沿的技術,包括比重密度法、吸附、動態化學吸附、壓汞技術、粉末流變技術、催化劑活性檢測和粒徑測定。
公司在美國、英國和西班牙均設立了研發和生產基地,并在美洲、歐洲和亞洲設有直銷和服務業務。Micromeritics 的產品是全球具有創新力的知名企業、政府和學術機構旗下 10,000 多個實驗室的優選儀器。我們擁有世界級的科學家隊伍和響應迅速的支持團隊,他們能夠將 Micromeritics 技術應用于各種要求嚴苛的應用中,助力客戶取得成功。
相關產品
更多
相關文章
更多
技術文章
2025-09-25技術文章
2025-08-13技術文章
2025-08-06技術文章
2025-07-09