
麥克默瑞提克(上海)儀器有限公司
金牌會員
已認證

麥克默瑞提克(上海)儀器有限公司
金牌會員
已認證
前言
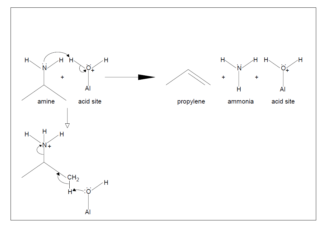
分子篩和其它催化劑的Br?nstead酸度是影響反應動力學的重要因素。因此,這些酸位點的表征非常重要,通常參照氨化學吸附法測定催化劑酸度的標準試驗方法(ASTM D 4824)進行。另一種表征方法則是使用丙胺對樣品進行脈沖化學吸附,然后進行程序升溫脫附(TPD)并連用質譜儀檢測丙烯的方式進行分析(見圖1)。采用帶有蒸汽發生器的AutoChem化學吸附儀與質譜儀聯用可以進行完整的表征分析。

圖1.胺與酸位點反應,通過類似霍夫曼消除反應分解成丙烯和氨

圖為 美國麥克儀器公司AutoChem系列化學吸附儀
實驗部分:
材料:
本文中使用的分子篩為H+β(SiO2/Al2O3:150/1)。分別以異丙胺(> 99.5%GC)和丙胺(> 99.0%GC)作為試劑。丙烯(> 99%)也用于校正。
制備:
Beta分子篩可以帶有不同的陽離子,包括NH4+和H+。這些陽離子可通過升溫轉變為H+。樣品首先在惰氣氣氛中以10℃/ min的速率加熱至500℃進行活化,然后降溫至分析溫度200℃。
分析:
Beta分子篩活化后即進行脈沖化學吸附。在此步驟中,采用惰性氣體氦氣,通過流經一個5cm3的loop環向樣品中注入10次丙胺蒸汽,以確保樣品吸附飽和。分析的最后一步是程序升溫脫附(TPD)。在這一步中,質譜儀開始掃描檢測產物丙烯信號。數據是在200°C到500°C的程序升溫期間采集得到。
結果分析:
數據
為了獲得定量數據,質譜儀必須通過采用高精度注射器刺穿墊圈注入已知體積Vcal的待檢測氣體(丙烯)來進行校準。質譜儀信號的峰面積可以通過AutoChem峰值編輯軟件得到。為了增加校正精度,可以進行多次注射直至峰面積相似為止。然后可以對這些峰面積取平均值,以給出實際氣體體積與質譜儀峰面積之間的轉換系數Vcal/Acal,從而計算出分子篩的酸度。圖2為此過程的示例。

圖2. 面積-體積校準過程中質譜儀信號的示例

圖3.AutoChem的熱導率數據

圖4.質譜儀峰值結果
此外,圖3和4表明,熱導檢測方法包括化學吸附中殘留的胺和氨,而質譜儀檢測則區分出丙烯信號,從而可以計算酸位點的濃度。通過對圖4中丙烯信號積分得到峰面積(Apms)后,酸位點濃度Nas可計算如下:

以下是與圖4中數據相對應的計算值。濃度值表示為酸位微摩爾/每克分子篩。


美國麥克儀器公司是全球領先的材料表征解決方案供應商。在密度、比表面積及孔隙度、粒度及粒形、粉體表征、催化劑表征及工藝開發等五個核心領域擁有一流的儀器和應用技術。公司成立于1962年,總部位于美國佐治亞州諾克羅斯,在全球擁有超過300名員工。美國麥克儀器公司同時具備豐富的科學知識庫和一流內部生產制造,為學術研究和解決工業問題提供廣泛的高性能產品。為孵化和傳遞有價值的新技術而實現的伙伴關系,體現了公司全盤的、以用戶為中心的理念,公司同時建立了商業測試實驗室–Particle Testing Authority (PTA)實驗室。戰略收購英國富瑞曼科技有限公司和西班牙PID公司,也證明了我們在工業粉體和催化領域中對優化的綜合解決方案的長期承諾。
美國麥克儀器公司擁有強大的全球網絡,在美洲、亞洲和歐洲均設有子公司,并在其他地區有專門的經銷商團隊。這確保了為學術界和工業界的每位用戶提供當地的知識支持。美國麥克儀器公司產品涵蓋了石油加工、石化產品和催化劑、食品和制藥等多種多樣的行業,為下一代材料例如石墨烯、MOF材料、納米催化劑和沸石等下提供最前沿的表征技術。公司致力于為每位用戶提供最佳的解決方案。
相關產品
更多
相關文章
更多
技術文章
2025-09-25技術文章
2025-08-13技術文章
2025-08-06技術文章
2025-07-09