
元能科技(廈門)有限公司
金牌會員
已認證

元能科技(廈門)有限公司
金牌會員
已認證
背 景
在動力電池領域,因整車輕量化和更長的巡航里程的需求,更高的能量密度成為消費者關注的關鍵指標,對于電芯設計方面提出了更高的要求。在相同的化學體系下,往往可通過優化電芯設計參數來提升能量密度,例如提高極片的壓實密度,優化導電劑和電解液配方等。但是壓實密度的提高會帶來一系列問題,其中包含電解液浸潤困難。如不進行一定的設計優化,短期會影響電芯容量和效率發揮,長期則會影響循環壽命和安全可靠性[1-3],因此對極片性能的評估變得尤為重要。
本文通過測試不同壓實密度的極片曲折度和浸潤速率來探究極片浸潤和曲折度的關聯性,為電極設計以及優化提供一些新的方法。
1.測試條件&方法
1.1 測試設備
極片曲折度測試:采用元能科技自研的多通道離子電導率測試系統(EIC2400M,IEST)如圖1所示,該設備包含4個測試通道,可提供高純氬氛圍,實現多通道對稱電池的電化學阻抗譜測試。壓力范圍10~50Kg,頻率范圍100KHz~0.01Hz。

圖1.多通道離子電導率測試系統
極片電解液浸潤測試:采用元能科技自研的電解液浸潤性測試系統(ETS1000,IEST)如圖2所示,該設備搭載高精度稱重系統,可原位表征極片的電解液浸潤速率,探究不同極片的浸潤效果。同時還可進行裸電芯浸潤效果測試、保液量測試等。

圖2.電解液浸潤性測試系統
1.2 測試樣品
不同壓密的磷酸鐵鋰正極片,壓密大小為A<B<C。
1.3 測試流程
極片曲折度測試:將樣品按照極片-隔膜-極片的順序放入治具中→關閉設備倉門,對內腔進行抽真空-充高純氬氣,除去內腔中的水分→對各通道進行定量注液→達到浸潤時間后,自動測試EIS→最后通過軟件的擬合、計算得到極片的曲折度。
極片浸潤測試:將極片放置于設備腔體內的掛鉤上,再把極片底部浸入電解液約5mm,記錄極片重量隨時間的變化,測試時間900s。最后對數據進行線性擬合,得到浸潤K值。
1.4 計算方法
麥克馬林數計算方法:

式中:τ為曲折度;Rion為離子電阻;A為極片面積;ε為極片孔隙率;σ為電解液電導率;d為極片的厚度。由于極片孔隙率的測試方法較為復雜,通常用曲折度和孔隙率的比值,即麥克馬林數(Nm = τ / ε)來表征極片的曲折度,如式(2)所示。

利用電化學工作站測試對稱電池的阻抗,得到的EIS如圖3所示。將Nyquist圖中低頻線段延長,直至與X軸相交,該交點與高頻線段和X軸的交點的差值的3倍即為該極片涂層的離子阻抗Rion。將擬合得到的離子阻抗Rion代入公式(2)中計算可得到極片的麥克馬林數,進而分析極片的曲折度。

圖3.對稱電池的電化學阻抗譜圖
浸潤系數計算方法:
極片在電解液中的浸潤過程,可以理解為毛細管吸收效應。通常用Lucas - Washburn滲透模型來描述極片毛細效應吸液的動力學,如公式(3)所示:

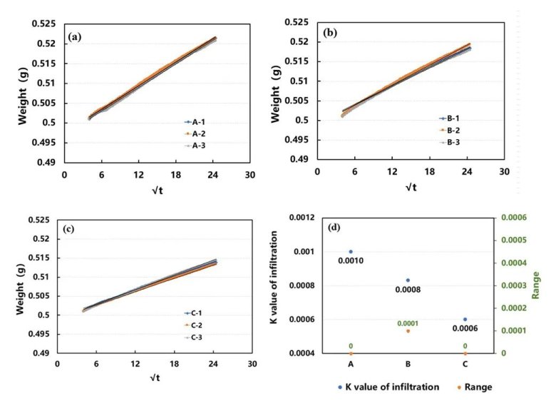
其中h為吸液高度,t為吸液時間,c為不同空隙毛細管對應的形狀系數,r為毛細管半徑,cr為定值,稱為形式半徑,σ為液體的表面張力,η為液體粘度。從公式中可以看出液體浸潤高度h的平方和吸液時間t成正比,定義h和√t的比率K為浸潤速率(公式(4))。極片在浸潤過程中重量隨時間變化的關系也符合上述公式。
2.結果分析

圖4.不同壓密正極片對稱電池的Nyquist圖 A (a) ; B (b) ; C(c)和擬合得到的麥克馬林數 (d)
對不同壓密的正極片組裝對稱電池進行電化學阻抗譜測試,結果如圖4所示。對EIS圖譜進行擬合得到各極片的離子電阻,再將離子電阻值代入公式 (2) ,得到極片麥克馬林數,如圖4(d)所示。從數據的趨勢可以看出,離子電阻和麥克馬林數隨著極片壓密的增加而增加。

圖5.不同壓密正極片在浸潤過程中重量隨時間變化的曲線A (a) ; B (b) ; C(c) 和擬合得到的K值 (d)圖5為A、B、C三種極片的電解液浸潤曲線,對曲線進行線性擬合得到對應的K值,如圖5 (d)所示,可以發現隨著壓實密度的增大,極片的電解液浸潤性曲線斜率逐漸減小,即壓實密度越大,浸潤性越差。結合極片曲折度和浸潤的測試結果發現浸潤效果越差的極片曲折度越大,說明隨著壓實密度的增加,顆粒和導電劑顆粒之間的接觸更加密實,吸收電解液的性能變差,電解液難以浸潤,使鋰離子的遷移更加困難,增大了離子傳輸阻抗,從而導致極片的曲折度增加。本實驗說明極片的電解液浸潤效果是影響曲折度的重要因素。
總 結
本文測試了不同壓密的磷酸鐵鋰正極片的曲折度和電解液浸潤速率,實驗數據表明電解液浸潤是影響不同壓密極片曲折度的重要因素。一般來說在材料允許的壓實范圍內,極片壓實密度越大,單位體積內容納的活性材料越多,電池的容量就能做的越高。但當極片的壓實過高的時候,孔隙率降低,曲折度越大,鋰離子傳輸路徑越長,會嚴重降低電池的倍率性能和循環性能。因此,壓實密度對電池設計非常重要。我們可以通過對極片曲折度以及浸潤測試去初步表征該極片的性能,從而確定合適的極片設計方案。
參考文獻
[1]黃海寧,曹戀.鋰電池極片的電解液浸潤速率研究[J].電源技術, 2022,46:500-503.
[2]SUO L M, HU Y S, LI H, et al. A new class of solvent-in-salt electrolyte for high-energy rechargeable metallic lithium batteries [J]. Nature Communications, 2013, 4: 1481.
[3]KNOCHEA T, SUREKA F, REINHARTA G. A process model for the electrolyte filling of lithium-ion batteries [J]. Procedia CIRP, 2016, 31: 405-410.
相關產品
更多
相關文章
更多
技術文章
2025-10-29技術文章
2025-10-21技術文章
2025-10-15技術文章
2025-09-17
虛擬號將在 秒后失效
使用微信掃碼撥號