
元能科技(廈門)有限公司
金牌會員
已認證

元能科技(廈門)有限公司
金牌會員
已認證
背 景
在鋰離子電池的復雜體系中,電解液起著不可或缺的角色,它就像是電池內部的“血液”,負責在正負極之間傳遞鋰離子,從而實現電能的儲存和釋放。電解液的性能直接影響到電池的整體性能,包括能量密度、循環壽命、充放電速率,以及工作溫度范圍。
電池若要實現優異的倍率性能則需要電解液具有高的鋰離子傳輸能力,鋰離子傳輸快慢與電解液性能直接相關[1]。如圖1(a)所示,鋰離子電池在充電過程中將經歷四個過程:(1) 鋰離子與溶劑分子形成溶劑化鋰,溶劑化鋰在電勢差和濃度差的驅動下進行液體擴散;(2) 在固態電解質界面 (sold electrolyte interphase, SEI)膜界面處溶劑化鋰離子將與溶劑分子分離即去溶劑化過程;(3) 去溶劑化鋰離子在SEI膜中傳輸;(4) 鋰離子在活性材料本體內傳輸形成插層化合物[2, 3]。

圖1.(a)鋰離子電池充電過程示意圖;(b)充電過程不同階段能量勢壘示意圖[3,4]
從以上提到的四個方面可知鋰離子的擴散和遷移是影響電池倍率性能的主要因素,眾所周知,極片曲折度代表了多孔電極傳輸路徑的彎曲程度,可表征鋰離子在極片涂層中遷移的難易程度,從而體現出電池的倍率性能。從電極微觀結構角度考慮,極片曲折度定義為鋰離子在電極中實際的傳輸距離與垂直距離之間比值的平方,即τ=(L’/L)2,主要與電極的微觀結構,特別是孔隙的結構,如孔徑大小,孔隙喉道尺寸,孔隙連通性等有關系。通常計算曲折度的方法包括圖像分析法,測試孔隙實際聯通路徑,然后根據定義來計算;或者電化學方法測試有效電導率或者擴散系數,根據有效電導率(或者有效擴散系數)σeff =σ*ε/τ來計算,例如測試對稱電池的離子阻抗,然后根據電極厚度和面積計算實際測量的有效電導率1/σeff = (Rion*A)/d ,從而可計算 τ/ε=σ/σeff。本文通過分析正負極極片在不同電解液中的曲折度和電池倍率性能的關聯性,可以初步判斷電解液的倍率性能,提高電解液的研發效率。
1. 測試條件&方法
1.1 測試設備
對稱電池的組裝以及測試:采用元能科技自研的多通道離子電導率測試系統(EIC1400M,IEST)如圖2所示,該設備包含4個電池組裝治具(圖2(b)),可實現四通道快速測試電化學阻抗譜。壓力范圍0~20Kg,頻率范圍100KHz~0.01Hz。

圖2.多通道離子電導率測試系統:設備外觀(a);電池組裝治具(b)
軟包電池的組裝以及測試:采用相同的正極和負極、不同的電解液組裝軟包電池,通過充放電設備測試其電化學性能。
1.2 測試樣品
正極:鈷酸鋰材料 / 負極:石墨材料
電解液:配方1:0.8M LiPF6 EC:DMC:EMC=3:5:2 /
配方2:1.0M LiPF6 EC:DMC:EMC=3:5:2 /
配方3:1.6M LiPF6 EC:DMC:EMC=3:5:2
1.3 測試流程
在手套箱中通過治具組裝極片的對稱電池,將組裝好的治具放入設備中,設置5kg的力對治具進行施壓,約10min后,在軟件上點擊開始實驗,測試電池電化學阻抗, 最后通過軟件的擬合、計算得到極片的麥克馬林數。
電池測試:分別測試電池在不同倍率下(0.5c/1c/3c/5c/10c)的充放電性能。
1.4 麥克馬林數計算方法

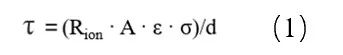
式中:τ 為曲折度;Rion為離子電阻;A為極片面積;ε為極片孔隙率;σ為電解液電導率;d為極片的厚度。由于極片孔隙率的測試方法較為復雜,通常用曲折度和孔隙率的比值,即麥克馬林數(Nm = τ / ε)來表征極片的曲折度,如式(2)所示。

利用電化學工作站測試對稱電池的阻抗,得到的EIS如圖3所示。此時電化學阻抗譜的Nyquist圖具有低頻區域線段和高頻區域線段相交的形狀特點,這是無電化學反應的典型Nyquist圖。將Nyquist圖中低頻線段延長,直至與X軸相交,該交點與高頻線段和X軸的交點的差值的3倍即為該極片涂層的離子阻抗Rion。將擬合得到的離子阻抗Rion代入公式(2)中計算可得到極片的麥克馬林數,進而分析極片的曲折度。

圖3.對稱電池的電化學阻抗譜圖
2. 結果分析

圖4.不同電解液的正(負)極片對稱電池的阻抗圖譜: 正極-配方1 (a1); 正極-配方2(a2); 正極-配方3(a3); 負極-配方1 (b1); 負極-配方2 (b2); 負極-配方3 (b3)
使用不同的電解液、相同的正極或負極片組裝對稱測電池進行電化學阻抗譜測試,結果如圖3(a1)、3(a2)、3(a3)和3(b1)、3(b2)、3(b3)所示。對阻抗圖譜進行擬合得到各極片的離子電阻,再將離子電阻值代入公式 (2) ,得到極片麥克馬林數,如圖5所示。

圖5.正負極片在不同電解液中測試得到的麥克馬林數
由上圖可知,正極極片和負極極片在電解液中的麥克馬林數均為:配方2<配方1<配方3。當采用電化學方法測量曲折度時,先測試獲得的有效電導率或者有效擴散系數更符合電池實際情況,不僅包含電極微觀結構信息,還包括電解液的物性特征,比如電解液的粘度和表面張力不相同會導致電解液浸潤性不同,可能出現實際部分納米孔隙內沒有電解液的情況,會導致離子傳輸路徑變遠,阻礙鋰離子在正負極之間的穿梭,從而影響電池的倍率性能、放電容量和使用壽命。電解液的組成和鋰鹽濃度會改變粘度和表面張力,進而影響潤濕性。通過改善注液工藝、改善卷芯工藝、添加電解液浸潤劑等方法可以提高電解液的浸潤效果。此外,電解液中的添加劑也可以通過改變Li+溶劑化結構,從而影響電池性能。
表1.電池在不同電解液中的倍率性能


圖6.電池在不同電解液中的倍率-容量保持率曲線
圖6和表1展示了相同極片、不同電解液組裝的軟包電池在不同倍率下的容量及容量保持率。從表中可以看出,電池的容量隨著倍率的增加而減小。當倍率等于10C時,配方1的電池容量保持率為90.55%,配方2為93.92%,配方3為89%結合麥克馬林數的數據可知鋰離子在涂層中遷移的難易程度受電解液配方的影響,麥克馬林數數值大的對應的電池倍率性能較差,說明電解液電化學性能測試結果和曲折度測試結果能夠對應起來,因此通過極片在不同電解液中的曲折度測試,我們可以預測電解液的倍率性能,將電解液配方和電化學性能快速關聯起來,加快電解液的開發,縮短評估周期。
3. 總結
本文對不同配方的電解液進行了對稱電池和軟包電池的組裝,測試極片在不同電解液中的曲折度和電池的倍率性能,發現兩者之間存在一定的關聯性。因此,我們可以通過測試極片的曲折度去初步判斷電解液的倍率性能。極片曲折度的測試除了可以判斷不同電解液的倍率性能之外,也可以用于研究電極配方、孔隙率、主材形貌、隔膜種類等對鋰離子電池性能的影響。
4. 參考文獻
[1] Li N, Chen Z P, Ren W C, et al. Flexible graphene-based lithium ion batteries with ultrafast charge and discharge rates[J]. Proceedings of the national academy of sciences of the United States of America, 2012, 109 (43): 17360-17365.
[2] Yamada Y, Furukawa K, Sodeyama K, et al. Unusual stability of acetonitrile-based superconcentrated electrolytes for fast-charging lithium-ion batteries [J]. Journal of the American chemical society, 2014, 136(13): 5039-5046.
[3] Caiwl, Yao Y X, Zhu G L, et al. A review on energy chemistry of fast-charging anodes [J]. Chemical society reviews, 2020, 49 (12): 3806-3833.
[4] 殷志剛, 吳寧寧, 曹敏花, 等. 快速充電鋰離子電池電解液研究進展[J]. 新能源進展, 2024, 12(2): 216-226.
相關產品
更多
相關文章
更多
技術文章
2025-10-29技術文章
2025-10-21技術文章
2025-10-15技術文章
2025-09-17
虛擬號將在 秒后失效
使用微信掃碼撥號