
元能科技(廈門)有限公司
金牌會員
已認證

元能科技(廈門)有限公司
金牌會員
已認證
1.研究背景
目前,鋰離子電池的正極材料主要為鈷酸鋰(LCO)、三元材料(NCM)和磷酸鐵鋰(LFP)。近一兩年來,隨著電動汽車的增加以及儲能的逐漸放量,大家對電池安全性的關注也在逐步提高,除了電池設計技術的改善(如比亞迪的刀片電池,寧德時代的CTP技術等)外,對新材料的研發也尤為關鍵。LFP因其較高的安全性逐步成為電動汽車或儲能電池的主要正極材料,但是對于LFP電池而言,其能量密度的開發幾乎達到了其極限,性能提升的空間不大。磷酸錳鐵鋰(LMFP)的晶體結構與LFP相似,也具備化學性質穩定、安全性能優異等特點,同時LMFP中摻雜的錳元素可提高材料的充電電壓,將充電電壓由LFP的3.4V提升至4.1V,使得LMFP電池的理論能量密度提升了15~20%,進一步擴大續航里程。LMFP安全性能優于NCM,同時能量密度高于LFP,此外LMFP對稀有金屬依賴度低,可與LFP共線生產,成本優勢明顯。磷酸錳鐵鋰與其它正極材料的詳細性能對比如表1所示。
表1.磷酸錳鐵鋰與其它正極材料的對比

資料來源:中泰證券
2.工藝路線
磷酸錳鐵鋰與磷酸鐵鋰合成方法基本一致,工業上主要為高溫固相法、水熱合成法、共沉淀法等。目前磷酸錳鐵鋰的制備工藝路線無統一標準,行業內龍頭廠商的技術路線如下:
(1)德方納米:主要采用溶膠凝膠法制備磷酸錳鐵鋰,將鋰源、錳源、磷源以及鐵源按比例混合溶解后得到液態漿料,將其除去水分并破碎,得到粉末狀的前驅體,然后進行燒結、粉碎得到磷酸錳鐵鋰。
(2)力泰鋰能:主要采用共沉淀法,先通過共沉淀法得到含鐵錳的前驅體,然后將前驅體和鋰源、碳源均勻混合后燒結得到磷酸錳鐵鋰。
(3)寧德時代:主要采用溶劑熱制備磷酸錳鐵鋰,將所需的各原料溶解在溶劑中,配置成均勻溶液,將其轉移到反應釜中反應得到前驅體,然后干燥、燒結得到磷酸錳鐵鋰。
(4)斯科蘭德:主要采用高溫固相法進行合成,將所需原料均勻混合后,然后進行高溫燒結制得磷酸錳鐵鋰,并與三元材料復合進行供應。
3.材料改性
鋰離子在橄欖石型正極材料中的一維傳導決定了其離子電導率較低,而在電子傳輸能力方面,磷酸錳鐵鋰的電導率比具有半導體性質的磷酸鐵鋰更低,磷酸鐵鋰電導率為10-9 S/cm,NCM電導率為10-3 S/cm,磷酸錳鐵鋰僅為10-13 S/cm。從結構上看,磷酸錳鐵鋰沒有連續的FeO6(MnO6)共棱八面體網絡,而是通過PO4 四面體連接(如圖1所示),因此無法形成鈷酸鋰材料那樣連續的Co-O-Co結構,限制了鋰在一維通道內的運動,導致材料導電性很差,進而導致其大倍率充放電性能也很差。電導率的提高主要集中在碳包覆和離子摻雜方面。碳包覆主要提高電子電導率,而離子摻雜主要提高離子擴散系數和電導率。

圖1.橄欖石型LMFP的結構示意圖[1]
在材料合成過程中加入適量碳,不僅可以提高材料的導電性,還能夠阻止顆粒間的接觸,抑制顆粒的團聚和生長,因此更易得到納米級的正極材料[2, 3],從而有效減少Li在活性顆粒內部的擴散距離,使材料擁有更加優異的倍率。同時,碳包覆還可降低活性物質和電解液的接觸表面,從而避免與電解液產生副反應,改善其高溫性能和循環性能。碳包覆一般分為兩種:一種是將LMFP成品與碳源充分混合,之后在還原性氣氛下高溫煅燒包覆;另一種是將碳源直接加入原料中,一起進行混合、干燥、高溫燒結,最終形成碳包覆的LMFP/C復合材料。例如Oh等科研工作者使用超聲分散熱解法合成LiMnx Fe1-x PO4粉末[4],然后與碳源球磨混合后得到碳包覆的橄欖石型鋰離子正極材料。材料以0.5 C和2 C倍率放電時,首次放電比容量分別為150 mAh/g和121 mAh/g,其電化學性能的提高得利于一次粒子與碳的緊密結合及碳的均勻包覆。
除了在材料表面包覆碳來提高材料的電子電導率外,離子摻雜也是提高鋰擴散系數和離子電導率的常用手段。離子摻雜可以形成LMFP晶格中Li位或Fe、Mn位缺陷,在材料晶格中產生空位或改變原子間鍵長,方便Li+在晶格中的移動,從而提高材料的電化學性能[5]。相比形貌控制、表面包覆等改性方法,離子摻雜的優勢在于對LMFP材料的振實密度影響較小的同時能夠提高體積能量密度,有利于增強電池的倍率性能。表2展示了近年來對LMFP進行元素摻雜改性的數據匯總。

表2.不同元素摻雜對LMFP性能影響的數據匯總[6]
4.電導率測試方法
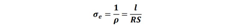
以上介紹的各種方法能有效地提高正極材料的電導率以及電化學性能。在性能表征方面,科研工作者通常通過組裝扣式電池或軟包電池來測試其電化學性能,或者通過測試EIS來表征其阻抗變化從而判斷改性效果的好壞,那么如何準確且快捷地對材料改性前后的電導率變化進行測試呢?根據歐姆定律R=U/I,可通過測試通過導體的電流和通過導體的電壓降來計算導體的電阻,并結合待測樣品的幾何尺寸,進而通過以下公式計算其電導率。

該測試方法我們一般稱為直流法,電極材料是離子和電子的混合導體,測試過程中通過直流極化,混合離子和電子的高瞬態電流很快下降,并最終達到穩定的電子電流,從而主要測定電子電導率。直流法又包括兩探針法和四探針法,元能科技(廈門)有限公司通過大量的測試實驗發現:兩探針原理更適合電阻稍大的樣品,如LCO和低鎳NCM等鋰電正極材料,而四探針原理更適合電阻小的樣品,如石墨負極以及各類導電劑等;而包覆碳的LMFP、LFP等阻值在歐姆級的樣品,兩種原理同等適用,且對比測試發現,兩種原理的測試結果整體差異不大。為此元能科技自主研發了適用于大小阻值樣品測定的雙原理雙功能設備——粉末電阻率&壓實密度儀(PRCD3100,IEST),在測試過程中,該設備在對粉末樣品施加不同壓力(最高可達5T)的同時,可同步采集粉末樣品的電阻、電阻率、電導率、壓實密度等參數,并實時顯示在軟件界面上。
圖2.粉末電阻率&壓實密度儀的設備示意圖及不同LFMP測試數據
5.參考文獻
[1] Osorio-Guillén J M,Holm B,Ahuja R,et al.A theoretical study of olivine LiMPO4 cathodes[J]. Solid State Ionics, 2004, 167(3-4): 221-227.
[2] Wang Y, Hu G, Cao Y, et al. Highly atom-economical and environmentally friendly synthesis of LiMn0.8Fe0.2PO4/rGO/C cathode material for lithium-ion batteries[J]. Electrochimica Acta, 2020,354:136743.
[3] Kosova N V, Podgornova O A, Gutakovskii A K. Different electrochemical responses of LiFe0.5Mn0.5PO4 prepared by mechanochemical and solvothermal methods[J]. Journal of Alloys and Compounds, 2018, 742: 454-465.
[4] Oh S M, Jung H G, Yoon C S, et al. Enhanced electrochemical performance of carbon-LiMn1?x FexPO4 nanocomposite cathode for lithium-ion batteries[J]. Journal of Power Sources, 2011, 196(16): 6924-6928.
[5] Budumuru A K, Viji M, Jena A, et al. Mn substitution controlled Li-diffusion in single crystalline nanotubular LiFePO4 high rate-capability cathodes: Experimental and theoretical studies[J]. Journal of Power Sources, 2018, 406: 50-62.
[6] Yang L , Deng W , Xu W ,et al. Olivine LiMnxFe1-xPO4 cathode materials for lithium ion batteries: restricted factors of rate performances[J].Journal of Materials Chemistry A, 2021, 9: 14214–14232.
相關產品
更多
相關文章
更多
技術文章
2025-10-29技術文章
2025-10-21技術文章
2025-10-15技術文章
2025-09-17
虛擬號將在 秒后失效
使用微信掃碼撥號