
步琦實驗室設備貿易(上海)有限公司
白金會員
已認證

步琦實驗室設備貿易(上海)有限公司
白金會員
已認證

使用步琦噴霧干燥儀B-290
制備超長壽命鈉鐵硫酸鹽正極材料
噴干應用
1
介紹
隨著經濟的增長和對環境保護需求的增加,鋰離子電池得到了巨大的發展和應用。然而鋰電池中資源的均衡分配,以及一些貴金屬元素(如鈷和鎳)的高成本和稀缺性,導致了成本上升和生產瓶頸。僅靠鋰離子技術很難滿足未來電力和儲能市場的需求。鈉離子電池為這些挑戰提供了一個有前景的替代方案,它在從低速電動車到電網級儲能系統的廣泛應用中展現出巨大潛力。在各種正極材料中,聚陰離子正極因其高安全性、長壽命和低成本而聞名。其中,鈉鐵硫酸鹽化合物(NaxFey(SO4)z,簡稱 NFS)因其超低成本和循環性能(主要在半電池中展示)而受到廣泛關注。
2014 年,Yamada 等人首次制備了Na2Fe2(SO4)3(NFS223)作為正極材料,實現了平均放電電壓3.8V(相對于Na/Na+),這是迄今為止鈉離子正極材料中 Fe3+/Fe2+ 氧化還原電位最高的。這一高輸出電壓歸因于硫酸根的強誘導效應。其他研究也一致證明了這些材料的高電壓、優異的循環穩定性(主要在實驗室半電池中)和良好的倍率性能。空氣穩定性是電池材料實際應用中的一個重要因素,因為它深刻影響材料的制備、儲存和電池生產過程。許多鈉離子正極材料,如層狀氧化物,會在空氣暴露時容易與 CO2、H2O、O2 等大氣成分反應,導致結構降解和電化學性能下降。這些問題使得這些材料的儲存和制造過程復雜化,從而增加了生產成本。
近日,上海交通大學馬紫峰、李林森團隊提出了一種鈉鐵硫酸鹽(Na2Fe(SO4)2,簡稱 NFS)正極材料的表面水合作用自限制和可逆性機制,該機制能夠顯著提高鈉離子電池的循環壽命。團隊通過噴霧干燥法制備了球形 NFS 顆粒,并對其進行了碳納米管(CNTs)改性,以增強電子導電性。研究發現,盡管 NFS 正極材料在空氣中暴露時會與水分反應生成水合物(Na2Fe(SO4)2·4H2O),但這種水合作用在NFS顆粒表面是空間受限的,不會擴散到顆粒內部。此外,當表面水合的 NFS 顆粒在典型的電極真空干燥過程中加熱時,結構變化是可逆的,避免了額外的處理和額外成本。這一發現揭示了 NFS 正極材料在高性能和可持續鈉離子電池應用中的潛力。
2
制備過程
將分析純的 Na2SO4 和 FeSO4·7H2O 加入去離子水中并攪拌至完全溶解,同時通入氮氣;然后,加入一定量的碳納米管漿料(CNTs)繼續攪拌以獲得均勻懸浮液;接著,利用噴霧干燥技術將懸浮液干燥,收集前驅體;最后,將前驅體置于石墨坩堝中,在 5℃/min 的升溫速率下加熱至 350℃,并保持 12 小時,自然冷卻后得到最終的 Na2Fe(SO4)2/CNTs 產物。
3
工作要點
本工作發現鈉鐵硫酸鹽(Na2Fe(SO4)2,簡稱 NFS)正極材料在空氣穩定性方面表現出色,即使在 20% 相對濕度的空氣中存放 60 天或在半電池中循環 3500 次后,也能保持最小衰減和 91.9% 的容量保持率。此外,NFS 正極在實際相關的軟包全電池中展現了卓越的循環性能,具有約 100 Wh kg-1 的比能量和超過 1000 次的循環壽命。盡管 NFS 正極與水分反應生成 Na2Fe(SO4)2·4H2O,但水合作用被限制在 NFS 顆粒表面,不會擴散到顆粒內部。而且,當表面水合的 NFS 顆粒在典型的電極真空干燥過程中加熱時,結構變化是可逆的,避免了額外的處理和額外成本。這項工作揭示了 NFS 正極材料在高性能和可持續鈉離子電池方面具有巨大潛力。

▲ 圖1. NFS 材料的制備過程示意圖,通過噴霧干燥法進行。(b)和(c)是 NFS 顆粒的掃描電子顯微鏡(SEM)圖像。(d)是原始 NFS 材料的 XRD 圖譜和相應的Rietveld精修結果。(e)顯示 NFS 的晶格條紋的高分辨率透射電子顯微鏡(HR-TEM)圖像。(f)是選區電子衍射(SAED)圖譜。(g)是 NFS 材料的 TEM-EDS 元素圖。

▲ 圖2. NFS 材料在空氣暴露前后的電化學性能。(a)是 NFS-3C 和 NFS 正極在 1C 倍率下的電壓曲線,測量是在 20% 相對濕度的空氣暴露 60 天后進行的。(b)和(c) NFS-3C 正極在 5C 和 10C 倍率下的空氣儲存后的循環性能。(d)是 NFS 正極在 1C 倍率下空氣儲存后的循環性能。所有電化學測試均在半電池中使用金屬鈉作為對電極,在 2.0 至 4.5V 的電壓范圍內進行。

▲ 圖3. 空氣暴露后形態和結構變化。(a)至(c)分別是原始狀態、在 20% 相對濕度下儲存 60 天和在 60% 相對濕度下儲存 60 天的 NFS-3C 顆粒的 SEM 圖像。(d)和(f)分別是 NFS 和 NFS-3C 樣品在儲存前后的 XRD 圖譜。(e)和(g)分別是(d)和(f)中 19° 至 20° 和 26.5° 至 27.5° 的 2θ 范圍內 XRD 圖譜的放大視圖。19.6° 和 27.2° 處的衍射峰可能表明形成了Na2Fe(SO4)2·4H2O。

▲ 圖4. NFS 材料在空氣暴露后的額外表征。(a)是從原始狀態、在 20% 相對濕度下儲存 60 天和在 60% 相對濕度下儲存 60 天的樣品中收集的寬掃描 XPS 圖譜。(b)是窄掃描 O-1s 圖譜。約 532 eV 處的峰對應于晶體中的羥基。(c)是 NFS 和 NFS-3C 樣品的 FTIR 圖譜。

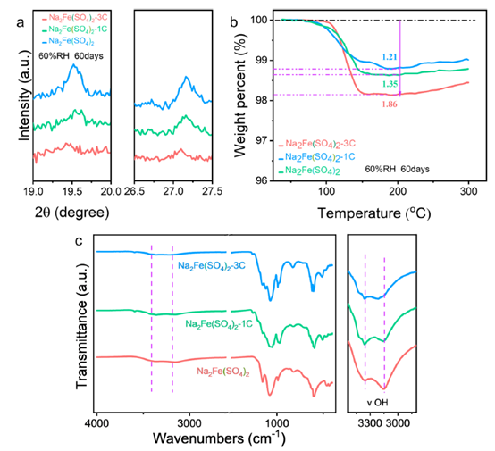
▲ 圖5. CNT 改性對 Na2Fe(SO4)2 基粉末在空氣暴露后結構的影響。(a)是Na2Fe(SO4)2、Na2Fe(SO4)2-1C 和 Na2Fe(SO4)2-3C 在 60% 相對濕度下儲存 60 天后的 XRD 圖譜放大視圖。(b)是在 60% 相對濕度下空氣暴露后Na2Fe(SO4)2 基粉末的熱重分析(TGA),在 20 至 350℃ 的氮氣氛圍下進行。(c)是三個樣品的 ATR-FTIR 圖譜。

▲ 圖6. 在 60% 相對濕度下空氣暴露 60 天后 Na2Fe(SO4)2 的再生。(a)是 Na2Fe(SO4)2-60% RH-60days 粉末在真空干燥前后的 XRD 圖譜。(b)是 Na2Fe(SO4)2-60% RH-60days 粉末與 Na2Fe(SO4)2 和 Na2Fe(SO4)2-3C(在 60% 相對濕度下空氣暴露 60 天)電極在真空干燥后的 XRD 圖譜對比。(c)和(d)是在真空干燥過程中表面形貌和結構的演變。

▲ 圖7. NFS 正極材料的“動態空氣穩定性機制”。在低相對濕度下,表面形貌和結構的演變遵循 A ? B 的順序。在高相對濕度下,演變遵循 A → B → C ? D 的順序。

▲ 圖8. NFS-HC 軟包電池的電化學性能。(a)是鈉離子全電池的示意圖。(b)是 NFS-HC 軟包電池的照片,總重量約為 22.9 克。(c)是在 1.5-4.2V 范圍內的倍率性能。(d)、(e)和(f)是在不同電壓范圍和倍率下測試的 NFS-HC 軟包電池的電壓曲線。(g)、(h)和(i)是相應的放電容量與循環次數的對比圖。
4
實驗結論
研究人員使用通過噴霧干燥合成制備的球形 NFS 顆粒作為模型系統,研究了 NFS 正極材料的空氣穩定性機制。通過將 NFS 正極材料暴露在不同相對濕度水平下,研究人員系統地評估了形態、結構和化學變化及其與電化學性能的相關性。結果表明,NFS 表現出動態空氣穩定性。在低濕度條件下,它形成了微量的 NFS 水合物,在長時間內呈現出吸水和風化之間的平衡。在高濕度條件下,NFS 水合物在顆粒表面形成,防止了進一步的水合。水合作用對 NFS 正極的電化學性能影響很小,因為晶格水在電極干燥過程中很容易被去除,恢復NFS材料到其原始狀態。引入 CNTs 有助于減少水分吸收,進一步增強其空氣穩定性。這項研究代表了對 NFS 正極材料空氣穩定性機制的首次系統研究。提出的新機制為理解和改進其他 NFS 正極材料(具有不同 Na/Fe 比的 NFS)的空氣穩定性提供了寶貴的見解。最后,NFS 正極材料在實際軟包電池中具有卓越循環性能(1000 個循環后容量保持率為 81.9%,在電池級別上比能量約為 100 Wh kg-1)。這項工作 NFS 正極材料在低成本和高性能鈉離子電池方面的巨大潛力。

B-290

S-300
40 多年來,步琦一直在為實驗室噴霧干燥和微膠囊化開發市場領先的解決方案,如今完成了 B-290 到 S-300 的全面升級。我們一直致力于了解并滿足您對實驗室顆粒形成技術的個性需求。我們為包括尖端產品、創新系統在內的各個行業提供量身定制和可信賴的解決方案以及高度專業的應用支持。
5
文獻來源
Zheng, Zhilin, et al. "Self-Limited and Reversible Surface Hydration of Na2Fe (SO4) 2 Cathodes for Long-Cycle-Life Na-ion Batteries." Energy Storage Materials (2024): 103882.

長按上方二維碼聯系我們
或撥打聯系電話:
400 - 880 - 8720
微信公眾號
步琦智慧實驗室
淘寶官方旗艦店
瑞士步琦
最新動態
更多
虛擬號將在 秒后失效
使用微信掃碼撥號