
步琦實驗室設備貿易(上海)有限公司
白金會員
已認證

步琦實驗室設備貿易(上海)有限公司
白金會員
已認證

使用 Pure Flash C-815
高效分離 ω-3 脂肪酸
Pure應用
1
簡介
ω-3 脂肪酸是一類長鏈多不飽和脂肪酸,由于人體中缺乏 Δ?12 和 Δ?15 脫飽和酶,Ω-3 脂肪酸必須通過飲食獲取,并且被認為對人類健康至關重要。EPA 和 DHA 的攝入量的增加已被科學證明在治療和預防動脈粥樣硬化、心肌梗死、炎癥、關節炎、糖尿病、嬰兒大腦發育和癌癥方面有益。許多流行病學、觀察性和臨床研究強調了 ω-3 脂肪酸在降低血漿甘油三酯水平和預防心血管疾病方面的有效性。全球的心臟病學會建議每天服用 ω-3 脂肪酸(EPA+DHA 或僅 EPA)的劑量為 4 克(總EPA + DHA 超過 3 克),這代表了一種有效的降甘油三酯治療劑。隨著這一關注度的增加,對高純度 ω-3 脂肪酸的需求激增。然而長期的過度捕魚導致主要魚類來源急劇下降,導致 ω-3 脂肪酸的價格迅速上漲。盡管如此,全世界只有少數公司有能力生產藥用級 ω-3 脂肪酸。因此開發一種普遍適用且成本效益高的技術,以確保高純度 ω-3 脂肪酸的安全生產是必要的。在本研究中,使用 RP-MPLC 技術來制備高純度的 ω-3 脂肪酸乙酯,目標總含量不低于 84% 的 EPA 和 DHA,這是根據藥典規定的。基本變量控制分離過程被評估和優化,基于純度和回收率,包括填料材料、流動相、樣品體積、樣品濃度、流速和流動相組成。
2
色譜柱填料對分離效果的影響
色譜柱填料是色譜系統的“核心”,其物理化學性質,包括包裝結構的均勻性(單相、多孔或非多孔)、幾何形狀(粒徑、床面積和孔徑及形狀)以及所附接的配體類型,對分離效能有顯著影響。為了尋找高通量、低背壓、高靈敏度和高分辨率以實現高效分離的色譜柱填料,對多種鍵合相材料(CN、Diol、C4、C6、C8、C18 和 AQ-C18)在 ω-3 脂肪酸乙酯的純化中進行了評估(見 圖1 和 表1)

▲ 圖1.使用不同色譜柱填料的 ω-3 脂肪酸乙酯的 RP-MPLC 色譜圖
表1. AQ-C18 和 C18 對 RP-MPLC 純化的 EPA 和 DHA 酯的影響。
色譜柱填料 | AQ-C18 | C18 |
tR2 (min) | 17.09±0.08 | 31.08±0.14 |
tR3 (min) | 21.53±0.07 | 37.90±0.1 |
Rs1 | 1.43±0.02 | 1.27±0.03 |
Rs2 | 1.13±0.03 | 1.02±0.03 |
注意:tR2 表示 EPA 的保留時間;tR3 表示 DHA 的保留時間;RS1 表示 EPA 與其前雜質(組分A)的分離度;RS2 表示 DHA 與其后雜質(組分D)的分離度。同一組中的不同字母表示顯著差異 (p<0.05) 。以下表格同樣適用此注釋。
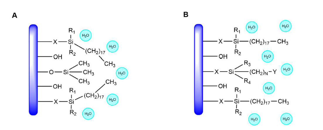
C18 和 AQ-C18 填充材料的洗脫曲線顯示出 EPA 和 DHA 的明顯目標峰,并且與相鄰的雜質峰有良好的分離。AQ-C18 顯示了較早的峰出現時間,較短的純化時間和較低的溶劑消耗,與 C18 相比,這展示了更優越的分離效率。C18 和 AQ-C18 都是非極性反相色譜固定相,帶有十八烷基碳鏈的硅膠。然而,AQ-C18 經歷硅羥基的極性末端封口,減少了表面的殘留硅醇,從而增強了 ω-3 脂肪酸乙酯的分離效果(見 圖2)。因此,AQ-C18 被選為后續實驗的固定相。

▲ 圖2. RP-MPLC 固定相(A) C18 和(B) AQ-C18 的結構差異
3
流動相對分離效果的影響
選擇合適的流動相對于提高分離效率起著重要的輔助作用。低粘度、低沸點和低成本的溶劑被優先考慮。在 圖3 和 表2 中,乙醇和乙腈在從 ω-3 脂肪酸中分離出雜質時效果不佳,而甲醇則成功了。盡管甲醇的粘度較高,但其較低的沸點使得從產品中除去甲醇,比乙腈和乙醇更容易。因此甲醇被選為首選的流動相。

▲ 圖3. 不同流動相下 ω-3 脂肪酸乙酯的 RP-MPLC 色譜圖
表2. 不同流動相對 RP-MPLC 純化 EPA 和 DHA 乙酯的影響。
流動相 | 乙醇 | 乙腈 | 甲醇 |
tR2 (min) | 6.29 ± 0.08 | 13.95 ± 0.1 | 17.08 ± 0.06 |
tR3 (min) | 7.14 ± 0.04 | 15.81 ± 0.08 | 21.54 ± 0.08 |
Rs1 | 0 | 0 | 1.42 ± 0.02 |
Rs2 | 0 | 1.32 ± 0.02 | 1.27 ± 0.03 |
流動相中有機溶劑的比例會改變其極性,從而影響樣品組分在固定相中的分配系數,并影響分離效率。增加甲醇比例會推遲峰出現時間,使峰形變寬,并減少脂肪酸乙酯 EPA 和 DHA 的保留時間、分辨率以及純度(見 圖4 和 表3)。這是因為增加流動相的極性已被發現能夠通過延遲非極性FAEE在柱中的保留時間來提高分離效率。當甲醇比例為 86% 至 90% 時,ω-3 脂肪酸的純度逐漸下降;同時回收率提高。當甲醇比例達到92%時,EPA 和 DHA 的脂肪酸乙酯純度降至 83.39%,這不符合國家藥典標準。甲醇比例超過 90% 不利于制備高純度的 ω-3 脂肪酸。因此選擇 90% 的甲醇溶液作為流動相。

▲ 圖4. 不同甲醇濃度的 RP-MPLC 的 ω-3 脂肪酸乙酯色譜圖
表3. 不同甲醇濃度對 RP-MPLC 純化 EPA 和 DHA 乙酯的影響
甲醇:水 | 86:14 | 88:12 | 90:10 | 92:8 |
EPA-EE/DHA-EE純度 (%) | 87.17 ± 0.15 | 86.32 ± 0.10 | 85.27 ± 0.15 | 83.39 ± 0.14 |
EPA-EE/DHA-EE回收率 (%) | 54.51 ± 0.16 | 65.24 ± 0.12 | 74.30 ± 0.11 | 53.28 ± 0.01 |
tR2(min) | 22.81 ± 0.05 | 18.37 ± 0.07 | 11.87 ± 0.05 | 9.67 ± 0.1 |
tR3(min) | 30.48 ± 0.08 | 24.26 ± 0.06 | 15.07 ± 0.04 | 12.02 ± 0.07 |
Rs1 | 1.64 ± 0.04 | 1.50 ± 0.02 | 1.22 ± 0.04 | 1.05 ± 0.03 |
Rs2 | 1.41 ± 0.03 | 1.26 ± 0.03 | 1.02 ± 0.02 | 0.84 ± 0.02 |
4
上樣體積對分離效果的影響
根據色譜制備的非線性理論,增加樣品體積可以提高色譜的處理能力,提高產品回收率,并提高生產效率。如 圖5 所示,隨著負載體積的增長,保留時間延遲,峰形變寬,分辨率降低,純化時間增加。這可能是因為更多的雜質在 AQ-C18 填料上吸附,影響了主峰和雜質峰的分離,從而降低了目標物質的純度。當樣品體積為 0.6mL 時,EPA 和 DHA 峰的總乙酯回收率最高(83.57%)。為了在實現更好的分離效果的同時最大化負載體積,選擇了 0.6mL 的樣品負載量,相當于色譜柱 1.25% 的柱體積。

▲ 圖5. 不同上樣體積 RP-MPLC 的 ω-3 脂肪酸乙酯色譜圖
表4. 不同上樣體積對 RP-MPLC 純化 EPA 和 DHA 乙酯的影響
上樣體積mL | 0.4 | 0.5 | 0.6 | 0.7 |
EPA-EE/DHA-EE純度 (%) | 87.57 ± 0.30 | 86.75 ± 0.08 | 86.67 ± 0.24 | 83.15 ± 0.30 |
EPA-EE/DHA-EE回收率 (%) | 58.44 ± 0.13 | 65.43 ± 0.21 | 83.57 ± 0.22 | 63.59 ± 0.36 |
tR2(min) | 17.10 ± 0.04 | 17.25 ± 0.05 | 17.40 ± 0.05 | 17.51 ± 0.04 |
tR3(min) | 21.47 ± 0.04 | 21.80 ± 0.03 | 22.07 ± 0.07 | 22.30 ± 0.06 |
Rs1 | 1.43 ± 0.02 | 1.32 ± 0.03 | 1.27 ± 0.02 | 1.06 ± 0.02 |
Rs2 | 1.07 ± 0.02 | 1.02 ± 0.01 | 1.02 ± 0.02 | 0.96 ± 0.02 |
5
樣品濃度對分離效果的影響
在工業生產中,增加樣品的濃度可以增強色譜處理能力,而降低濃度有助于促進分析物向色譜填料材料的分配和吸附過程,從而提高目標物質與雜質的分離度。然而這種改進是以相應的回收率降低為代價。圖6 展示了不同濃度的魚油乙酯與甲醇混合的 RP-MPLC 色譜曲線,并附 表5。隨著魚油乙酯濃度的增加,EPA 和 DHA 乙酯的純度下降,而回收率、保留時間和分辨率表現出增加。相反,使用純魚油注射降低了 EPA 和 DHA 乙酯的分離因子,實現了 1.23 的前雜質分離因子和 1.10 的后雜質分離因子,純度為 85.75%。EPA 和 DHA 乙酯的回收率隨著樣品的濃度穩步增加,達到純魚油時的峰值 74.62%。為了最大化生產效率,選擇了純魚油乙酯。

▲ 圖6. 不同純度樣品 RP-MPLC 的 ω-3 脂肪酸乙酯色譜圖
表5. 不同濃度對 RP-MPLC 純化 EPA 和 DHA 乙酯的影響
樣品濃度g/mL | 0.25 | 0.5 | 1 | Pure |
EPA-EE/DHA-EE純度 (%) | 87.19 ± 0.19 | 86.63 ± 0.28 | 86.11 ± 0.11 | 85.75 ± 0.15 |
EPA-EE/DHA-EE回收率 (%) | 50.47 ± 0.08 | 58.65 ± 0.07 | 62.21 ± 0.08 | 74.62 ± 0.05 |
tR2(min) | 15.86 ± 0.03 | 17.51 ± 0.04 | 17.61 ± 0.03 | 17.72 ± 0.02 |
tR3(min) | 18.07 ± 0.06 | 20.69 ± 0.06 | 21.47 ± 0.04 | 21.92 ± 0.03 |
Rs1 | 1.38 ± 0.03 | 1.35 ± 0.02 | 1.29 ± 0.02 | 1.23 ± 0.04 |
Rs2 | 1.31 ± 0.04 | 1.27 ± 0.03 | 1.13 ± 0.02 | 1.10 ± 0.03 |
6
流速對分離效果的影響
在液相色譜系統中,增加流速可以縮短分析物的洗脫時間,但可能會降低色譜分析的穩定性。隨著流速的增加,分析物的洗脫時間提前,峰形變得更加緊湊,導致乙酯 EPA 和 DHA 的峰與周圍雜質峰的距離更近(圖7)。隨著流速的加快,EPA 和 DHA 乙酯的洗脫時間持續縮短,導致保留時間和分辨率降低,從而純度下降(表6)。此外,EPA 和 DHA 乙酯的回收率也隨著流速的增加而持續下降,這可能是因為過高的流速可能會阻礙目標化合物的吸附到固定相。為了優化分離效率同時減少時間和溶劑的使用,選擇了 30mL/min 的流速。

▲ 圖7. 不同流速下 RP-MPLC 的 ω-3 脂肪酸乙酯色譜圖
表6. 不同流速對 RP-MPLC 純化 EPA 和 DHA 乙酯的影響
流速mL/min | 20.00 | 25.00 | 30.00 | 35.00 |
EPA-EE/DHA-EE純度 (%) | 86.17 ± 0.15 | 86.01 ± 0.14 | 85.27 ± 0.15 | 84.16 ± 0.83 |
EPA-EE/DHA-EE回收率 (%) | 82.86 ± 0.18 | 76.35 ± 0.01 | 73.82 ± 0.16 | 58.94 ± 0.14 |
tR2(min) | 17.33 ± 0.06 | 14.08 ± 0.08 | 11.87 ± 0.05 | 9.62 ± 0.09 |
tR3(min) | 20.60 ± 0.07 | 17.82 ± 0.08 | 15.07 ± 0.06 | 12.09 ± 0.08 |
Rs1 | 1.27 ± 0.03 | 1.26 ± 0.03 | 1.23 ± 0.01 | 1.14 ± 0.02 |
Rs2 | 1.28 ± 0.04 | 1.06 ± 0.02 | 1.01 ± 0.02 | 0.87 ± 0.03 |
7
ω-3 脂肪酸乙酯純化后的脂肪酸分析
含有相當于色譜柱體積 1.25% 的魚油乙酯被引入裝有AQ-C18 填料的 RP-MPLC 柱(粒徑 20-40 微米,孔徑100?,表面積 320?340m2/g),并用 90:10(體積比)的甲醇-水溶液作為等度流洗脫劑,流速為30mL/min,操作壓力為 1-4bar,步琦 Pure Flash C-815 中壓制備色譜。在最佳純化條件下,魚油乙酯的 RP-MPLC 色譜圖如圖8所示。收集了 B 和 C 兩個餾分,并在減壓下濃縮,隨后通過 GC-MS 進行鑒定。總共鑒定出16種脂肪酸,以 2.39% 的單不飽和脂肪酸(SFA)、3.14% 的多不飽和脂肪酸(MUFA)和94.47% 的飽和脂肪酸(PUFA)的形式存在(圖9和表7)。與初始樣品相比,去除了 SFA C14:0、C15:0 和 C19:0;MUFA C24:1n9;以及PUFA C22:5n3、C20:3n6和C22:5n6。ω-3 PUFA 的比例從 78.59%上升到 90.34%,主要成分是 EPA 和 DHA,分別占 57.13% 和 28.14%,總計 85.27%。因此,通過 AQ-C18 RP-MPLC 純化的 ω-3 脂肪酸乙酯符合《2020 年藥典》中“乙基多烯酸”的標準,該標準規定 EPA 和 DHA 的含量至少為 84%。

▲ 圖8. 在最佳純化條件下魚油乙酯的 RP-MPLC 色譜圖

▲ 圖9. ω-3 脂肪酸乙酯的純化氣相色譜圖
表7. 純化 ω-3 脂肪酸乙酯的脂肪酸組成


8
實驗結論
通過使用 AQ-C18 色譜柱和步琦 Pure Flash C-815 中壓制備色譜,獲得了總 EPA 和 DHA 含量為 85.27%,回收率高達 74.30% 的 ω-3 脂肪酸乙酯。魚油樣品注射量為柱體積的 1.25%;以(90:10,v:v)的甲醇-水溶液作為流動相,以 30mL/min 的流速進行等速洗脫,操作壓力為 1-4bar。與 RP-HPLC 相比,雖然兩種方法生產的 EPA 和 DHA 乙酯純度均符合國家藥典標準,RP-MPLC 允許更大樣品的裝載量、更高的流速和更低的系統壓力,從而縮短了純化時間、提高了生產效率并降低了生產成本。

▲ Pure Flash C-815 中壓制備色譜系統
9
參考文獻
Sang, M.; Pan, N.; Wu, J.; Chen, X.; Cai, S.; Fang, H.; Xiao, M.; Jiang, X.; Liu, Z. Reversed-Phase Medium-Pressure Liquid Chromatography Purification of Ω-3 Fatty Acid Ethyl Esters Using AQ-C18. Mar. Drugs 2024, 22, 285.

長按上方二維碼聯系我們
或撥打聯系電話:
400 - 880 - 8720
微信公眾號
步琦智慧實驗室
淘寶官方旗艦店
瑞士步琦
最新動態
更多
虛擬號將在 秒后失效
使用微信掃碼撥號