認 證:工商信息已核實
訪問量:441301
江蘇天瑞儀器股份有限公司 2023-08-23 點擊574次
目前,國際社會對石油化工產品尤其是油類產品(如汽油、柴油、潤滑油等)中硫含量的限制管控已成為環保重點。含硫量高的油料燃燒會生成二氧化碳,冷卻后產生水,硫與水結合生成亞硫酸或硫酸,對發動機有腐蝕作用。且硫的氧化物大量進入空氣會導致空氣污染,例如酸雨的形成。汽油中的硫燃燒后形成過多硫酸鹽,硫酸鹽附在催化器貴金屬涂層的表面上,造成汽車尾氣排放過高。所以降低汽油中硫的含量是非常重要的。
EDX 3200S PLUS X熒光測硫儀是繼EDX 3200S高效測硫儀后力推出的一款更高效智能的測硫儀器。
該款儀器的主要亮點在于它有超小的充氦樣品腔和超近的測試距離,可以精準快速的測試出油體中硫的含量,也可以測鈉至鈾元素含量,且該款儀器操作簡便、穩定性高、測試范圍廣、分析速度快、檢出限低。

圖一、EDX3200S PLUS
一、性能優勢
1.儀器外型小巧流暢,簡潔大方,可用于車載和實驗室,使用方便簡單
2.超小的充氦氣密閉樣品腔,節省氣體用量,減少檢測成本
3.超近的樣品測試距離,提高測試樣品的精確度
4.分析樣品速度快,最快可50秒獲取結果
5.每次樣品測試高度一致,保證了測試數據的準確度,節省標樣,且無需特殊取樣工具
6.下照式設計避免樣品揮發污染光管和探測器鈹窗,可測汽油、柴油等輕質油,提高測試精度
7.高激發效率側窗W靶X光管,大面積SDD探測器,良好的散熱性,有力地確保測試的高效穩定
8.X射線屏蔽設計,讓測試人員安全放心的使用。
二、標準配置
充氦氣密閉樣品腔
SDD探測器
信號檢測電子電路
高低壓電源
開放式樣品平臺
智能測硫軟件
X光管
計算機及噴墨打印機
三、技術參數
元素分析范圍:Na-U
分析范圍:3ppm-99.99%
檢測限:10ppm(充氦氣可達3ppm)
功能范圍:專用石油元素分析
分析精度:<100ppm其精度可控制在±10%
≥100ppm其精度可控制在±8%
測量時間:50-100s
測量對象:液體
工作電壓:AC 110V/220V
工作溫度:10-35℃
樣品杯容量:φ24mm×22mm
儀器尺寸:長370mm×寬360mm×高418mm
儀器重量:32kg
A、儀器檢出限測試
1 取純物質(白油)和S含量100ppm的重油標樣。
2 固定管壓、管流、濾光片參數后,測純物質11次,標樣3次。以下方法進行計算檢出限。
單試樣外標法
測試方法如下:
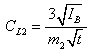
選擇一個已知含量(ωi)的標樣,測試某元素的分析線譜峰強度IP及其背景強度IB,其檢出限方程為:
,CL2--檢出限(μg·g-1);m2—分析元素的靈敏度【cps/(μg·g-1)】,此處
,t為測試時間,IP為譜峰強度,IB為背景強度(空白標樣在相同條件測試得到的強度;如無空白標樣,IB由分析元素的全面積減凈面積得出)。計算出儀器檢出限3.7ppm
S元素檢出限
測試次數 | 本底全面積強度 | 高含量強度 |
含量/ppm | 0 | 100 |
1 | 1.06 | 4.31 |
2 | 0.985 | 4.23 |
3 | 0.99 | 3.985 |
4 | 0.97 | |
5 | 1.045 | |
6 | 0.995 | |
7 | 1.01 | |
8 | 0.96 | |
9 | 0.95 | |
10 | 1.06 | |
11 | 1.025 | |
平均值 | 1.004545455 | 4.175 |
標準偏差/% | 0.03882361 | 0.169336942 |
斜率 | 31.54121864 | |
檢出限/ppm | 3.673631955 | |
B、儀器穩定性
將需測試樣品放入儀器進行測試,進行聯系11次測試觀察儀器測試穩定性。
樣品名稱 | S(ppm) |
3200_132155_正常 | 679.5368 |
3200_132156_正常 | 673.5362 |
3200_132157_正常 | 673.2834 |
3200_132158_正常 | 679.0959 |
3200_132159_正常 | 688.8426 |
3200_132160_正常 | 687.9374 |
3200_132161_正常 | 685.3338 |
3200_132162_正常 | 674.8204 |
3200_132163_正常 | 673.687 |
3200_132164_正常 | 669.7947 |
3200_132165_正常 | 693.4751 |
max | 693.4751 |
min | 669.7947 |
極差 | 23.6804 |
平均值 | 679.9403 |
標準偏差 | 7.809853912 |
RSD | 1.148608769 |
分析以上情況,針對《石油和石油產品硫含量的測定能量色散X射線熒光光譜法》GB/T17040-2008,現在儀器可以滿足測試需求。
四、其它部件
01. 外殼
02. 測試腔上蓋
03. 測試腔
04. 樣品杯
05. 流量調節旋鈕
06. 輻射指示燈
07. 電源指示燈
08. 風扇罩
09. USB接口
10. 電源接口
11. 電源開關
12. 氦氣輸入接口
五、測試流程
1、步驟一:快速取樣

取樣簡單,無需前處理過程
1、取樣快捷無需測量體積或重量
2、樣品杯可重復利用,耗材量小
3、安全無污染
2、步驟二:樣品放入測試區

精巧設計,節約成本
超小樣品腔設計,氦氣使用量更省,測試精度更高;
獨有的超近距離設計,確保測試儀器具有更好的精準度與再現性;
特有下昭式設計,能精確的測量汽油、柴油等輕質油;
測試速度快、換樣方便,每個樣品檢測最快只需要50S;
完全無損測試
3、步驟三:一鍵開測

快速測量,無需等待
一鍵操作,方便快速;
分析結果快速顯示,10S即出初步測試結果;
提供經驗系數法校正模式與基本參數法校正模式,保證分析結果的準確度;
全程軟件操控,一鍵保存測試報告;
操作安全,多重X射線屏蔽設計。
六、應用領域
該儀器可廣泛用于石油化工、原油開采、液體元素分析等行業,也可對粉末類樣品進行精準測試。樣品測試實例。
對某未知油質樣品使用EDX3200S plus儀器進行測試,測試后使用氧化微庫侖法進行測試。將測試結果進行比較。
圖二、樣品測試譜圖
測試結果比較如下:

方法 | 3200S plus | 氧化微庫侖法 |
含量(ppm) | 87.1364 | 85.8 |
通過測試結果可知,低含量樣品其測試譜峰明顯,測試精度良好,完全可以用于S含量較低的樣品測試。該儀器可滿足石油制品行業中對測硫儀器的精度需求。
