
上海奧法美嘉生物科技有限公司
鉆石會員
已認證

上海奧法美嘉生物科技有限公司
鉆石會員
已認證
溶出度的由來:
溶出度:是指藥物從片劑等固體制劑在規定溶劑中溶出的速度和程度。溶出度是片劑質量控制的一個重要指標,對難溶性的藥物一般都應作溶出度的檢查。由于藥物的溶出直接影響藥物在體內的吸收和利用, 溶出度試驗已成為評價制劑質量及生產工藝的指標之一。
早在幾十年前就有人指出,藥物在體內吸收速度常常由溶解的快慢而決定,固體制劑中的藥物在被吸收前,必須經過崩解和溶解然后轉為溶液的過程,如果藥物不易從制劑中釋放出來或藥物的溶解速度極為緩慢,則該制劑中藥物的吸收速度或程度就有可能存在問題,另一方面,某些藥理作用劇烈,安全指數小,吸收迅速的藥物如果溶出速度太快,可能產生明顯的不良反應,維持藥效的時間也將縮短,在這種情況下,制劑中藥物的溶出速率應予以控制。
過去認為只有難溶性藥物才有溶出度的問題,但近年來研究證明,易溶性藥物也會因制劑的配方和工藝不同而致藥物溶出度有很大差異,從而影響藥物生物利用度和療效,在USP中規定測定溶出度的制劑有相當數量是易溶性藥物。
大多數口服固體制劑在給藥后必須經吸收進入血液循環,達到一定血藥濃度后方能奏效,從而藥物從制劑內釋放出并溶解于體液是被吸收的前提,這一過程在生物藥劑學中稱作溶出,而溶出的速度和程度稱溶出度,從藥品檢驗的角度上講,溶出度系指藥物從片劑或膠囊等固體制劑在規定的溶劑中溶出的速度和程度。

影響溶出度的因素:
第一:配方-輔料的選擇
輔料應為“惰性物質”, 性質穩定, 不與主藥發生反應, 不影響主藥含量測定, 對藥物的溶出和吸收無不良影響。實際上, 輔料的理化性質是影響片劑質量的重要因素, 對片劑的性質甚至藥效可產生很大的影響, 因此應十分重視輔料的選擇。輔料的選擇主要包括選用優良的填充劑,采用合適的粘合劑,運用適宜的助流劑,添加表面活性劑和選用優質的崩解劑等方面。
第二:工藝的影響
一般工藝制成的普通片劑普遍存在溶出性能差、生物利用度低的問題, 直接影響臨床療效, 而通過微粉或細粉等過程其達到一定的粒度,這樣混合后主藥含量更為均勻, 制得的片劑更為細膩均勻。同時藥物的顆粒度對于藥物的質量有著直接的影響, 顆粒度對藥物的溶出性能也起著決定作用。并且在顆粒壓片的過程中,調整壓力,片重和硬度等方面,也會對溶出度有一定的改善。
第三:測定方法的選擇
藥物的溶出是其吸收的限制過程。很多藥物的片劑體外溶出與吸收有相關性, 因此溶出度測定可作為反映或模擬體內吸收情況的試驗方法, 選擇合適的溶出條件和溶出方法可對片劑進行控制或評定其質量。
粒徑大小和溶出度的關系:
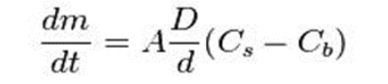
溶出度通常可以用Noyes-Whitney公式進行表示:

m: mass of dissolved material 材料的質量
t: time 時間
D: Diffusion coefficient 擴散系數
A:surface area of the interface between the dissolving substance and the solvent 比表面積
d: thickness of the boundary layer of the solvent at the surface of the dissolving substance
溶質表面溶劑的邊界層厚度
Cs:mass concentration of the substance on the surface 在表面溶質的質量濃度
Cb:mass concentration of the substance in the bulk of the solvent 在溶劑中溶質的質量濃度
粒徑的大小一般跟參數A和d有關:
一般情況下,隨著粒徑的減小,其粒度細微均勻,參數A比表面積增大,孔隙率增加,吸附性增強,溶解性增強,親和力變大,化學反應速率增加,改善了藥物的溶出度,能使有效成分較好地分散、溶解在胃液里,且與胃黏膜的接觸面積變大,更易被胃腸道吸收,從而提高了治療效果。
對于粒徑較大的粒子,參數d的影響比較小;對于粒徑較小的粒子,跟參數d的關系比較大。
調整粒徑的方法:
目前對于原料藥調整其粒徑大小方面的工藝主要是通過微粉或者細粉處理等,使其達到一定的粒度,混合后主藥含量更為均勻, 制得的片劑更為細膩均勻。其中有效成分的溶出速率也大為加快, 同等重量的藥物, 粒度越小, 表面積越大, 溶解越快, 細粉比粗粉的絕對生物利用度能提高約20%左右。一般情況下,顆粒的粒度愈小,而均勻度、流動性好的顆粒, 才能保證重量差異小, 藥物含量分布均勻, 顆粒的第二次崩解好, 從而改善藥物的溶出性能。
目前存在的問題:
通過微粉或細粉處理會使得原料藥的平均粒徑變小,從而使得其表面積增大,溶解度增加,能一定程度的改善藥物的溶出度。但是當減小的一定程度后,顆粒表面越來越光滑,原藥材特征越來越不明顯,且微粉化技術的應用并未改變原藥材的主要官能團結構,相反如果粒徑太小,反而影響超微粉體的溶出效果。
解決方案:
通過微粉或細粉處理,會使得平均粒徑變小,當粒徑小到一定程度后對溶出度反而會有一個負面的影響。但是當粒子的平均粒徑減小之后,并不是所有的粒子大小都變成了期望的數值,其中殘留的大粒子或許就是這些負面因素的主要來源。殘留的少量大粒子會對粒徑大小的數值給出錯誤的評估,影響了其進一步的優化。
美國PSS粒度儀推出的基于光阻法單顆粒光學傳感技術SPOS的AccuSizer780系列儀器完美的解決了大粒子殘留的問題,通過計數的概念將大粒子殘留的影響降到最低,為進一步改善藥物的溶出度提供了可能。
光阻法單顆粒光學傳感技術原理示意圖:

相關產品
更多
相關文章
更多
技術文章
2025-09-30技術文章
2025-08-20技術文章
2025-08-14技術文章
2025-04-18
虛擬號將在 秒后失效
使用微信掃碼撥號