
丹東百特儀器有限公司
鉆石會員
已認證

丹東百特儀器有限公司
鉆石會員
已認證
磁性高分子微球是近年發展起來的一種新型磁性材料,是通過適當方法將磁性無機粒子與有機高分子結合形成的具有一定磁性及特殊結構的復合微球。在生物醫學、細胞學和分離工程等諸多領域得到廣泛的應用。

本文使用BeNano 90 Zeta納米粒度及Zeta電位分析儀表征了一個磁性微球的粒徑和Zeta電位在不同pH條件下隨溫度的變化。
實驗部分
不同pH值環境樣品配置
測試的磁性微球母液為一個商品化微球,其微球表面共聚或者化學鍵修飾了未知基團。
將磁性微球母液用純凈水稀釋,其pH值檢測為6。取一定量磁性微球用HCl溶液稀釋至pH=3;另取一定量磁性微球用NaOH溶液稀釋至pH=9,得到三個不同pH的磁性微球分散液。
將pH=3、6和9的樣品分別放入PS樣品池及毛細管電極中,設置起始溫度為25℃,終止溫度為60℃,溫度間隔為1℃的升溫粒徑及電位溫度趨勢測試。設置起始溫度為25℃,終止溫度為0℃,溫度間隔為1℃的降溫粒徑及電位溫度趨勢測試。
結果與討論


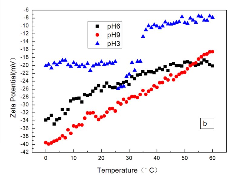
圖1. 不同pH=3、6和9環境中磁性微球在不同溫度下的粒徑(a)和Zeta電位曲線(b)
從圖1可以看出,在25℃時三個樣品的Z-均徑均為200nm左右,偏差不大。在三個pH環境下,顆粒電位均為負值,說明顆粒攜帶負電荷,在25℃條件下pH越高,Zeta電位絕對值越大。
在檢測的溫度區間內,pH=6和9的環境中,磁性微球粒徑隨溫度的變化不大,說明體系在這個溫度范圍內的分散度不變,相對穩定。而在pH=3的環境中,粒徑隨溫度敏感度較高,在25℃附近粒徑最小,降溫和升溫都刺激體系的粒徑增大,說明體系中產生了團聚物。
在所測的溫度范圍內,整體而言,同樣的溫度下,pH=6和9環境中體系的Zeta電位絕對值高于pH=3的環境。較高的Zeta電位可以提供較強的顆粒間相互作用力,這增加了體系的穩定性,有效降低外界刺激產生大顆粒團聚物的可能性。

圖2. pH=3下磁性微球在不同溫度下的粒徑和Zeta電位曲線
從圖2可以看到溫度的升高或降低Z-均徑均表現為增大的趨勢,尤其是在升溫過程。當高于34℃時,Zeta電位發生突變,由大約-20mv水平迅速降到約-10mv水平,同時在此溫度區間粒徑也迅速增大。這也進一步說明可以通過Zeta電位判斷體系的穩定性,當Zeta電位降低時,則體系處于不穩定狀態,顆粒容易團聚。
結論
結果表明,磁性微球在pH=6和9時,其體系的Zeta電位絕對值相對較高,體系處于相對穩定狀態,粒徑隨溫度波動不大。而當pH=3時其體系的穩定性對溫度要求較為苛刻。通過觀察可以發現,不同的pH和溫度環境中,相對而言Zeta電位絕對值超過20 mv體系穩定性較高。
相關產品
更多
相關文章
更多
技術文章
2025-10-21技術文章
2025-10-16技術文章
2025-10-10技術文章
2025-09-29
虛擬號將在 秒后失效
使用微信掃碼撥號