
丹東百特儀器有限公司
鉆石會員
已認證

丹東百特儀器有限公司
鉆石會員
已認證
PNIPAm,聚N-異丙基丙烯酰胺,是一種在醫藥、智能材料制造領域具有廣泛的功能性溫敏高分子材料,從上個世紀90年代開始引起科研人員的關注,具有大量文獻報道。
本文使用BeNano 90 zeta 納米粒度與Zeta電位分析儀表征了一個PNIPAm微凝膠的粒徑和Zeta電位隨pH及溫度的變化。
結果與討論

圖1. PNIPAm微凝膠不同pH值條件下Zeta電位結果
圖1為在25℃下,PNIPAm微凝膠的Zeta電位隨pH的變化曲線??梢钥闯?,在使用純凈水配置的母液環境中(pH=6時),Zeta電位為負值,說明此時微凝膠上凈電荷為負電,且Zeta電位絕對值最高。采用HCl溶液調節樣品pH值,隨著pH逐漸降低,樣品的Zeta電位絕對值逐漸減小,向零趨近,當pH=1時,樣品Zeta電位跨過等電點,由負電變為正電。這是因為在pH值逐漸降低的過程中,溶液中的H+濃度升高,H+的增加改變了樣品表面的電離平衡,樣品表面的負電荷逐漸被H+中和,因此帶電量下降,進而導致了Zeta電位絕對值下降。
通過向體系中添加NaOH,使體系中OH-含量增多,pH值逐漸增大,通常來說帶負電的OH-會使得顆粒表面攜帶更多負電,使Zeta電位負值不斷增加。然而觀察到隨著pH值的升高,Zeta電位絕對值卻逐漸減小,當pH=14時,Zeta電位趨近于0。這可能是因為當pH為6或7時,聚合物表面的基團電離比較充分,攜帶的負電荷已經達到飽和,即使OH-含量增多,顆粒表面也不能攜帶更多的負電荷,而NaOH濃度上升逐漸增加了體系中離子強度,離子強度越高,對于Zeta電位的屏蔽效果越來越強,導致了Zeta電位絕對值的降低。

圖2. 不同pH環境中PNIPAm水凝膠在不同溫度下的粒徑曲線
圖2顯示了pH=3,6和9環境中,樣品的粒徑隨溫度變化趨勢??梢钥吹皆谌齻€pH環境中,樣品的粒徑隨著溫度升高逐漸降低,從25℃的700nm逐漸減小到50℃的約300nm。這種明顯的隨溫度升高而收縮的現象是由于形成分子間氫鍵導致的。在降溫過程中,氫鍵斷裂,樣品粒徑逐漸增加。樣品展現了可逆的粒徑隨溫度的變化的趨勢。三個pH環境中,在相同溫度下粒徑接近沒有明顯差別,說明該樣品的粒徑對于pH改變不是特別敏感。

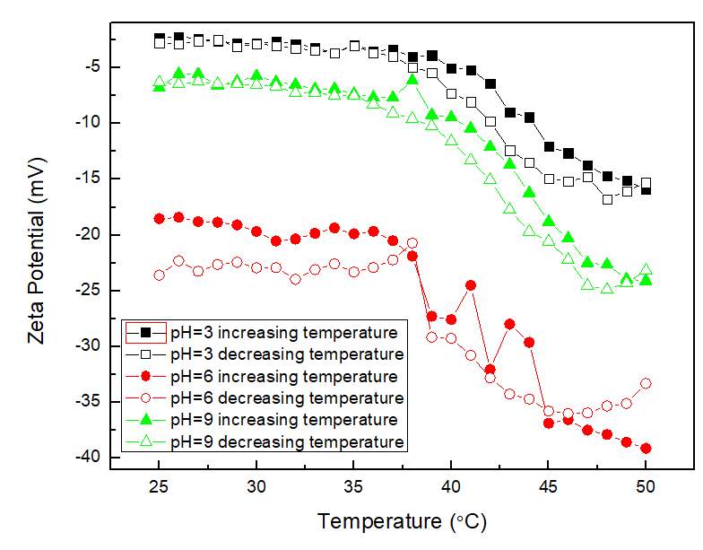
圖3. 不同pH環境中PNIPAm水凝膠在不同溫度下的Zeta電位曲線
結論
在這個應用報告中,通過BeNano 90 Zeta儀器表征了一個PNIPAm微凝膠樣品在不同pH值條件和不同溫度下的粒徑和Zeta電位信息。結果表明,樣品的Zeta與環境pH相關。不同pH下,樣品具有類似的粒徑和pH溫敏特點,即隨著溫度升高粒徑降低,而Zeta電位逐漸升高。
相關產品
更多
相關文章
更多
技術文章
2025-10-21技術文章
2025-10-16技術文章
2025-10-10技術文章
2025-09-29
虛擬號將在 秒后失效
使用微信掃碼撥號