
丹東百特儀器有限公司
鉆石會員
已認證

丹東百特儀器有限公司
鉆石會員
已認證
關鍵詞:Zeta電位、插入式電極、有機溶劑分散體系

圖1. 插入式電極
分散在有機溶劑中的顆粒往往在表面也會帶有一定量電荷。這些電荷產生的電勢會增加顆粒之間的相互作用力,起到增加系統穩定性的作用。由于有機體系的極性普遍較低,顆粒上攜帶的電荷量極少,在Zeta電位測試過程中需要施加較強電場才能夠引發足夠明顯的電泳運用,而且測試電極及其配套的樣品池需要考慮到對于有機溶劑的耐受性。
在這篇應用報告中,我們利用插入式電極,利用BeNano 90 Zeta納米粒度電位儀檢測了分散在甲醇和乙醇環境中的硅顆粒的粒徑和Zeta電位。
原理和設備
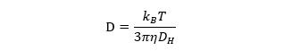
動態光散射技術DLS,也稱作光子相關光譜PCS或者準彈性光散射QELS,是利用激光照射在樣品溶液或者懸浮液上,通過光電檢測器檢測樣品顆粒布朗運動產生的散射光波動隨時間的變化。利用相關器的時間相關性統計學計算可以得到相關曲線,進而得到顆粒的布朗運動速度,即擴散系數D。通過斯托克斯-愛因斯坦方程,我們把顆粒的布朗運動速度和其粒徑DH聯系起來:

其中kB為玻爾茲曼常數,T為環境溫度,𝜂為溶劑粘度,DH為顆粒的流體力學直徑。
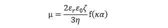
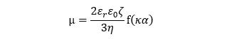
電泳光散射技術ELS是利用激光照射在樣品溶液或者懸浮液上,檢測向前角度的散射光信號。在樣品兩端施加一個電場,樣品中的帶點顆粒在電場力的驅動下進行電泳運動。由于顆粒的電泳運動,樣品的散射光的頻率會產生一個頻移,即多普勒頻移。利用數學方法處理散射光信號,得到散射光的頻率移動,進而得到顆粒的電泳運動速度,即電泳遷移率μ。通過Herry方程,我們把顆粒的電泳遷移率和其Zeta電位ζ聯系起來:

其中ε為介電常數,𝜂為溶劑粘度,f(κα)為Henry函數,κ為德拜半徑倒數,α代表粒徑,κα代表了雙電層厚度和顆粒半徑的比值。
丹東百特公司的BeNano 90 Zeta納米粒度電位儀,使用波長671 nm,功率50 mW激光器作為光源,在90度角進行粒徑檢測,在12度角進行Zeta電位檢測。采用PALS相位分析光散射技術。
樣品制備和測試條件
1#納米硅粉末樣品分散在甲醇分散液中,2#納米硅樣品分散在乙醇分散液中,施加超聲波進行分散。通過BeNano 90 Zeta內置的溫度控制系統開機默認測試溫度控制為25℃±0.1℃,樣品注入玻璃粒徑池采用動態光散射進行粒徑池進行粒徑測試。使用插入式電極進行Zeta電位測試。
每一個樣品在放入樣品池后進行至少三次測試,以檢測結果的重復性和得到結果的標準偏差。
測試結果和討論
粒徑測試


圖2. 動態光散射檢測1#納米硅樣品的粒徑分布曲線(上)和2#納米硅樣品的粒徑分布曲線(下)
通過使用動態光散射技術,得到當前分散條件下同樣品的粒徑和粒徑分布。其中1#樣品Z-均直徑為365.2±0.8 nm,PDI為0.58;2#樣品Z-均直徑為41.0±0.3 nm,PDI為0.50。可以看出粒徑測試結果具有很好的重復性,兩個樣品的PDI較大,分布都比較寬,這也可以從樣品的粒徑分布曲線中看出。


圖3. 使用插入式電極檢測1#(上)樣品和2#(下)樣品的三次測試的相圖
通過電泳光散射,得到了樣品的Zeta電位信息。圖3中展示了三次重復性測試的相圖,相圖斜率代表了散射光由于電泳運動造成的頻率的偏移??梢酝ㄟ^圖中曲線看出,分散在甲醇中的1#樣品斜率清晰,信噪比良好,而分散在乙醇中的2#樣品相圖相對嘈雜。

對于樣品的3次重復性結果列于表1中,可以看到納米硅樣品在甲醇和乙醇溶液環境中Zeta電位為負值,說明樣品顆粒攜帶負電,三次測試結果的重復性較好。顆粒在甲醇環境中的Zeta電位幅值明顯高于乙醇環境。
相關產品
更多
相關文章
更多
技術文章
2025-10-21技術文章
2025-10-16技術文章
2025-10-10技術文章
2025-09-29
虛擬號將在 秒后失效
使用微信掃碼撥號