
丹東百特儀器有限公司
鉆石會員
已認證
沉降法是通過測量顆粒在液體中的沉降速度來反映粉體粒度分布的一種方法。在液體中大顆粒沉降速度快,小顆粒沉降速度慢。沉降速度與粒徑的數量關系我們可以從下面的 Stokes 定律的數學表達式得到:

從上式可以看到,顆粒的沉降速度與粒徑的平方成正比,可見在重力沉降中顆粒越大沉降速度越快。比如在相同條件下,兩個粒徑比為 10:1,那么這兩個顆粒的沉降速度之比為 100:1。這樣通過測量顆粒的沉降速度就可以得到它的粒徑了。
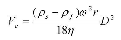
為了加快細顆粒的沉降速度,縮短測試時間,提高測試精度,許多沉降儀引入了離心沉降手段來加快細顆粒的沉降速度。離心狀態下粒徑與沉降速度的關系如下:

這就是離心狀態下的 Stokes 定律。其中 ω 為離心機角速度,r 為顆粒到軸心的距離。由于離心機轉速較高,ω 2 r 遠遠大于重力加速度 g,因此同一個顆粒在離心狀態下的沉降速度 V c 將遠遠大于重力狀態下的沉降速度 V,這就是離心沉降可以縮短測試時間的原因。
從Stokes定律可以看書,只要測出顆粒的沉降速度,就可以得到該顆粒的粒徑。但在實際粒度測量過程中,液體中的顆粒數量很多,大小不同,因此直接測量每一個顆粒沉降速度是很困難的,因此用透過懸浮液的光強隨時間的變化率來間接地反映顆粒的沉降速度。光強與粒徑之間的數量關系可以用比爾定律來描述:

通過比爾定律,我們通過測量不同時刻的光強得到光強的變化率,可以求得粒度分布。
相關產品
更多
相關文章
更多
技術文章
2025-10-21技術文章
2025-10-16技術文章
2025-10-10技術文章
2025-09-29
虛擬號將在 秒后失效
使用微信掃碼撥號