
丹東百特儀器有限公司
19 年
鉆石會員
鉆石會員
已認證
撥打電話
獲取底價
提交后,商家將派代表為您專人服務

丹東百特儀器有限公司
鉆石會員
已認證
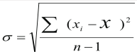
在相同測量條件下對同一被測樣品連續多次測量所得結果之間的偏差叫重復性。重復性條件包括以下幾個方面:相同的測量流程,相同的操作者,在相同的條件,在相同的地點,使用相同的儀器,在短時間內多次測量。重復性是衡量粒度儀器和粒度測試方法穩定性的主要指標。重復性誤差的計算方法如下:
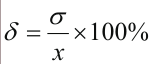
重復性或重現性為:
其中:
n為實際測量次數(一般 n ≥ 10);
xi 為每次測試的結果;
x 為多次測量的平均值;
σ 為標準差;
ISO13320 規定激光粒度儀重復性允許偏差:D10 ≤ 5%、D90 ≤ 5%,D50 ≤ 3%,如果它們的數值小于 10μm,誤差可放大一倍。

相關產品
更多
相關文章
更多
技術文章
2025-10-21技術文章
2025-10-16技術文章
2025-10-10技術文章
2025-09-29
虛擬號將在 秒后失效
使用微信掃碼撥號