
馬爾文帕納科
白金會員
已認證

馬爾文帕納科
白金會員
已認證
差示掃描量熱儀
在核酸遞送載體LNP/AAV表征中的應用
#本文由馬爾文帕納科醫藥行業業務發展專家范洋晶供稿

自 2019 年新冠疫情在全球爆發之后,以 mRNA 為代表的核酸疫苗/藥物受到了廣泛關注。目前已有多款核酸藥物獲批上市,mRNA 疫苗也成為FDA批準的首款COVID-19疫苗。在體內,核酸容易被免疫系統的細胞吞噬,并被核酸酶降解,所以需要遞送技術的配合,將核酸遞送到靶細胞中。有效的體內遞送是核酸疫苗/藥物發揮療效的關鍵,目前常用的核酸遞送載體包括病毒載體和非病毒載體。
病毒載體在核酸遞送領域已有較長歷史,主要有重組腺相關病毒(rAAV)和慢病毒類的病毒產品。脂質納米顆粒(Lipid Nanoparticles,LNPs) 主要由可電離陽離子脂質、膽固醇、中性輔助磷脂和聚乙二醇修飾的磷脂(PEG-脂質)組成,是目前遞送 mRNA 最主流的非病毒載體之一。由于其固有的結構復雜性,在產品開發和過程控制期間,核酸遞送載體的設計、表征和質量控制都需要有效的分析工具。
差示掃描量熱法(Differential Scanning Calorimetry, DSC)是在程序控制溫度下,測量樣品池與參考池之間的功率差與溫度的關系。MicroCal PEAQ-DSC 微量熱儀是表征蛋白質等生物分子熱穩定性的強有力的工具,主要用于生物制藥研發和生產。
MicroCal PEAQ-DSC 系統易于使用,無需標記或固定,既可用于常規穩定性研究,生物相似性和批次間一致性評價以及純化和生產條件的優化,在核酸遞送載體的生物物理表征中也有很好的表現。
01
應用一
MicroCal PEAQ-DSC表征
mRNA-LNP樣品的熱轉變可逆性和重復性
MicroCal PEAQ-DSC用于分析 mRNA-LNP 以及游離的 mRNA 樣品。使用專用的PEAQ-DSC分析軟件對數據進行分析,對樣本的 DSC 熱力學圖譜進行基線校正后,計算熱轉變溫度 Tm 值和熱力學焓變ΔH。
借助 DSC 可以更好地了解 mRNA 和 LNP 的熱力學轉變。
典型的 mRNA 具有與莖環狀結構展開相關的熱轉變,DSC 能夠檢測出這些不同的峰。如左下圖所示,在不同 pH值下,mRNA-LNP 表現出許多不同且又重疊的熱轉變,表觀焓也有明顯差異。DSC能夠分離多個不同的熱轉變峰,而右下圖的圓二色光譜(Circular dichroism, CD)不夠敏感,無法識別。

通過在每次DSC掃描樣品后進行重新掃描,對樣品進行熱轉變的可逆性測試。下圖顯示了第一次掃描和重新掃描后的 mRNA-LNP1 和游離 mRNA 樣品的 DSC 圖譜。結果表明 mRNA-LNP1 樣品的熱轉變峰是不可逆的,在重新掃描時并不會重現。相反,游離 mRNA 樣品在 65℃ 的熱轉變峰顯示出約 40% 的可逆性。

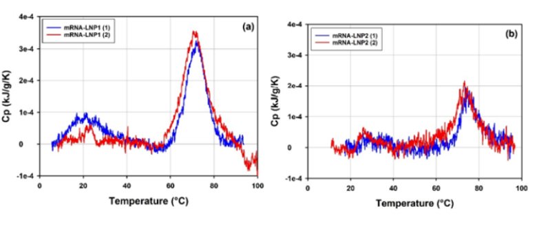
下圖為兩種 LNP配方不同的 mRNA-LNP1和 mRNA-LNP2 的 DSC 熱力學圖譜,均展示了良好的可重復性。

01
應用二
MicroCal PEAQ-DSC表征
rAAV5樣品的熱穩定性
MicroCal PEAQ-DSC用于分析空的和載有核酸的 rAAV5 樣品的熱穩定性,如下圖所示,他們對熱應力表現出不同的響應。空的 rAAV5 樣品似乎更容易發生熱不穩定,并且可以觀察到在主熱轉變溫度前的預過渡峰。而在載有核酸的 rAAV 樣品的 DSC 圖譜中,可以在 94.7℃ 左右檢測到一個額外熱轉變峰,這種額外的較高溫度轉變與 rAAV5 的血清型特異性 Tm 值明顯不同,可歸因于 rAAV5 衣殼崩解后釋放的核酸分子的結構轉變。

結論
Conclusion
綜合應用多種分析技術對核酸遞送載體進行全面的物理和化學屬性表征,對實驗結果進行合理的解釋,這對于指導核酸疫苗/藥物的設計,優化生產過程,并確定最終產品的穩定性都是非常重要的。
馬爾文帕納科所提供的 MicroCal PEAQ-DSC 儀器能夠非常精準地評估 mRNA-LNP 和 rAAV 樣品的熱轉變可逆性、重復性和穩定性等,為基于病毒和非病毒載體的新型核酸疫苗/藥物平臺發展提供了有力保障。
參考文獻
[1] Markova N, Cairns S, Jankevics-Jones H, et al. Biophysical Characterization of Viral and Lipid-Based Vectors for Vaccines and Therapeutics with Light Scattering and Calorimetric Techniques. Vaccines (Basel). 202; 10(1): 49.
[2] Larsona NR, Hua G, Wei YJ, et al. pH-Dependent Phase Behavior and Stability of Cationic Lipid?mRNA Nanoparticles. J Pharm Sci. 2022; 111(3): 690-698.
相關產品

PEAQ-DSC 差示掃描量熱儀
新一代的MicroCal PEAQ-DSC系統即使對于非常稀釋的蛋白溶液,仍能檢測出微弱的熱量變化,并利用這些信息準確地表征需要分析的分子的熱穩定性。
DSC所提供的熱穩定性信息被業內視為“金標準”技術,是一種非標記、全局性的數據,可被應用在生物制藥及小分子藥物研發和生產中,在學術領域研究分子間相互作用時也可發揮強大的作用。
關于馬爾文帕納科
馬爾文帕納科的使命是通過對材料進行化學、物性和結構分析,打造出更勝一籌的客戶導向型創新解決方案和服務,從而提高效率和產生可觀的經濟效益。通過利用包括人工智能和預測分析在內的最近技術發展,我們能夠逐步實現這一目標。這將讓各個行業和組織的科學家和工程師可解決一系列難題,如最大程度地提高生產率、開發更高質量的產品,并縮短產品上市時間。
相關產品
更多
相關文章
更多
技術文章
2025-10-28技術文章
2025-10-17技術文章
2025-08-29技術文章
2025-08-15
虛擬號將在 秒后失效
使用微信掃碼撥號