中國粉體網訊

【工作介紹】
超高鎳層狀氧化物正極(LiNixCoyMn1-x-yO2,NCM,x≥0.9)有助于實現高能量密度和高安全性的硫化物全固態電池。然而,由于與硫化物電解質之間界面副反應、空間電荷層(SCL)和元素擴散,難以實現穩定的循環。在此,中國科學院物理研究所、長三角物理研究中心、中科固能、天目湖先進儲能技術研究院吳凡團隊與合作者提出了一種直接的固相涂層策略來合成Ni90-S正極,大大提高了復合正極的電荷傳輸能力,并抑制了硫化物全固態電池中的界面副反應。由此產生的SC-Ni90-0.2%S/Li6PS5Cl/Li4Ti5O12 全固態電池表現出優異的電化學性能,包括,在1C下500次循環后具有87%的容量保持率,11.44 mAh cm-2的高面容量,以及優異倍率性能 (20C)。這些振奮人心的結果為ASSB的正極材料設計提供了一種有效的策略。本研究采用的策略為高鎳三元正極材料的設計提供了新的思路,可供未來高能量密度硫化物全固態電池參考。
該成果以“High-Capacity, Long-Life sulfide all-solid-state batteries with single-crystal Ni-rich layered oxide cathodes”為題發表在Advanced Functional Materials上,通訊作者為中國科學院物理研究所博士生導師吳凡,第一作者為中國科學技術大學碩士研究生劉歡。
【背景介紹】
鋰離子電池(LIBs)是目前消費電子、電動汽車和大規模儲能領域的主導儲能技術/設備。然而,商用鋰離子電池中使用的易燃有機液體電解質在短路或過度充電時會導致熱失控、火災和爆炸,構成重大的財產損失和人員傷亡等安全風險。全固態電池(ASSB)利用固態電解質(SE)和具有超高的理論容量(3862 mAh g-1)和極低的電化學電勢的金屬鋰負極,有望滿足對具有高安全性和高能量密度的儲能系統日益增長的需求。在所有的固態電解質內,硫化物固態電解質表現出接近液體電解質(LE)的高室溫離子電導率(10-3-10-2 S cm-1)和柔韌性,使其在未來極具應用前景。同時,在追求高能量密度全固態電池的過程中,超高鎳層狀氧化物正極(LiNixCoyMn1-x-yO2,NCM,x≥0.9)因其高容量、高平臺電壓和成本效益而備受關注。盡管如此,硫化物固態電解質在與氧化物正極直接接觸時的高反應性會引發化學/電化學副反應,從而阻礙超高鎳層狀氧化物正極材料的容量的發揮。
因此,在高鎳三元正極和硫化物固體電解質之間建立穩定的化學/電化學界面是至關重要的。科研人員在這一方向作出了重大努力。例如,結果表明通過原子層沉積(ALD)在NCM正極上涂覆表面涂層可以提高倍率性能,抑制正極與硫化物固體電解質界面上的嚴重副反應,并提高硫化物全固態電池的循環壽命。盡管ALD涂層增強了機械穩定性并延長了循環壽命,但其高成本對工業規模生產構成了挑戰。因此,選擇一種經濟適用且有效的涂層方法至關重要。此外,用單晶材料取代多晶材料以消除顆粒晶界已顯示出提高全固態電池電化學性能的潛力。傳統的多晶NCM顆粒由具有隨機取向的亞微米一次晶粒組成,導致Li+擴散路徑富集,顆粒內部的Li濃度不均勻,導致應力/應變集中和沿晶界的最終內部裂紋。在硫化物全固態電池的長期氧化還原過程中,體積變化引起的表面副反應、開裂和接觸損失會導致材料的結構坍塌和電化學性能的顯著退化,隨著Ni含量的增加,這些情況變得更加嚴重。與多晶相比,具有更完整結構、更小表面積和無顆粒間晶界的單晶NCM正極備受關注。
在這項工作中,我們在單晶超高鎳層狀氧化物正極(SC-Ni90)上使用了硫化物表面涂層來增強SC-Ni90和硫化物電解質界面的穩定性。采用低溫固相硫涂層策略生成該硫化物表面涂層,有效抑制硫化物固體電解質與氧化物正極之間的不良反應,抑制硫化物電解質的進一步分解,有效緩解空間電荷層效應。同時,涂層提供了一種改進的離子傳輸途徑,加速了鋰離子的擴散,并減緩了循環過程中阻抗的增長。電化學性能表明,SC-Ni90-0.2%S/Li6PS5Cl/Li4Ti5O12 硫化物全固態電池表現出優異的電化學性能,包括在1C下500次循環后具有87%容量保持率、11.44 mAh cm-2的高面容量和優異的倍率性能(20C)。本研究采用的策略為高鎳三元正極材料的設計提供了新的思路,可供未來高能量密度硫化物全固態電池參考。
【核心內容】

圖1.(a)SC-Ni90原始樣品和SC-Ni90-S樣品的XRD圖譜。(b-d)(a)中的三個區域的放大圖像。
圖1a顯示了SC-Ni90和SC-Ni90-S樣品的X射線衍射(XRD)圖。三個樣品的主衍射峰在XRD圖譜中很明顯,明確歸屬于六方層狀α-NaFeO2結構和R-3m空間群(JCPDS No.70–4314),表明涂層工藝對SC-Ni90-S粉末的體相晶體結構沒有造成破壞。圖1b和1c中(006)/(012)和(108)/(110)峰的明顯分裂證實了SC-Ni90-S有序排列的層狀結構。此外,基于XRD圖譜計算的三種材料的所有c/a值均高于4.9(表S1),再次證實了有序的層狀結構。然而,如圖1d所示,隨著硫化物涂層量的增加,特征峰(003)向較低的角度移動,這可能是由于燒結過程中少量硫擴散到表面晶格。這導致晶格輕微膨脹,因為S2-(1.70 Å)的離子半徑比O2-(1.26 Å)大。

圖2.(a)SC-Ni90顆粒的TEM圖像。(b、c)SC-Ni90的表面區域的HRTEM圖像。(d)SC-Ni90的FFT圖像。(e-i)SC-Ni90顆粒的STEM暗場圖像和EDS圖像。(j)SC-Ni90-0.2%S的TEM圖像。(k,l)SC-Ni90-0.2%S的表面晶格結構。(m)SC-Ni90-0.2%S的FFT圖像。(n-s)SC-Ni90-0.2%S顆粒的STEM暗場圖像和EDS圖像。
為了進一步探索涂層策略對表面的影響,對SC-Ni90和SC-Ni90-0.2%S樣品進行HRTEM。對HRTEM圖像進行FFT分析(圖2d和m),以模擬衍射圖案并幫助識別晶面取向。如圖2a所示,低放大率的TEM圖像顯示了SC-Ni90樣品的光滑表面。HRTEM圖像顯示SC-Ni90的白色正方形區域中的晶面間距為0.235 nm,與圖2b-d和S1中SC-Ni90的(012)晶面完全對應。相反,圖2k在SC-Ni90-0.2%S顆粒的表面上顯示出10-20 nm厚的硫化物層,顯示出與本體晶體區域明顯不同的結構。SC-Ni90-0.2%S測得的晶面間距約為0.204 nm,與圖2k-m和S2中Ni90的(104)晶面對應。將這些觀察結果與圖1中的XRD結果相結合,可以推斷成功合成了具有硫化物涂層的SC-Ni90。該硫化物層起到阻擋層的作用,防止電極材料和硫化物固體電解質之間的直接接觸,從而抑制界面副反應。此外,為了評估涂層的均勻性,通過TEM-EDS對0.2wt.%S涂覆的SC-Ni90粉末的表面進行分析。圖2n-S和表S2-S3顯示了S涂覆粉末的元素圖,表明S在SC-Ni90粉體表面上的均勻分布。這表明硫化物涂層很好地分散在表面上。

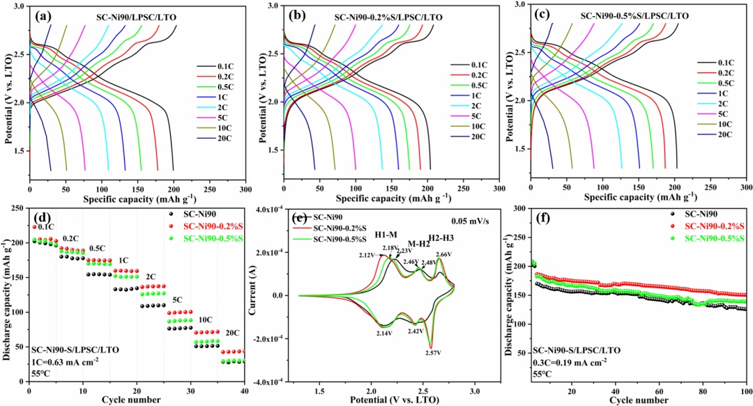
圖3.(a-c)SC-Ni90和SC-Ni90-S在硫化物ASSB中在不同速率下的充電/放電曲線。(d) SC-Ni90和SC-Ni90-S在硫化物ASSB中的倍率性能。(e)SC-Ni90和SC-Ni90-S在硫化物ASSB中0.05 mV/S下的CV曲線。(f)SC-Ni90和SC-Ni90-S在硫化物ASSB中在0.3 C下的循環性能。
為了研究硫化涂層對SC-Ni90在硫化物ASSBs中電化學性能的影響,進行了一系列電化學測試。圖3a-c分別顯示了三個正極在0.1 c至20 c的不同速率下的充電和放電曲線(均選自第3、第8、第13、第18、第23、第28、第33和第38次循環)。當在0.1 C的低倍率下時,三個正極之間的放電容量的差異并不明顯。然而,隨著電流密度的增加,這種差異變得越來越明顯。例如,SC-Ni90、SC-Ni90-0.2%S和SC-Ni90-0.5%S在第23次循環(2C)的放電容量分別為109.5、137.2和126.8 mAh g−1。SC-Ni90、SC-Ni90-0.2%S和SC-Ni90-0.5%S在第33次循環(10 C)的放電容量分別為51.2、71.3和57.7 mAh g−1。SC-Ni90在高電流密度下較低的放電容量歸因于硫化物SE和氧化物正極之間的界面副反應引起的高界面電阻。一方面,由于硫化物SE在正極電勢范圍內的熱力學不穩定狀態,硫化物SE和氧化物正極之間的直接接觸導致缺鋰空間電荷層的形成。另一方面,由于硫化物SE和氧化物正極之間的直接接觸,硫化物固體電解質(S和P)中擴散的過渡金屬離子可能引發硫化物和氧化物離子之間的二次反應,也形成不希望的反應層。然而,硫化物涂層策略不僅抑制了硫化物SE和氧化物正極之間的不良反應,而且有效緩解了空間電荷層效應。同時,涂層提供了一種改進的離子轉移通道,可以加速Li離子的擴散并促進反應動力學。因此,在極高的電流密度下,SC-Ni90-0.2%S的容量顯著高于其他正極的容量。圖3d顯示了三種正極的速率-性能圖,其遵循以下定律:SC-Ni90-0.2%S>SC-Ni90-0.5%S>SC-Ni90。這再次表明涂層的適當厚度有利于改善SC-Ni90的倍率性能。SC-Ni90/LPSC/LTO和SC-Ni90-S/LPSC/LTO電池在1.3 V和2.8 V(vs. LTO)之間以0.05 mV S–1的掃描速率的循環伏安法(CV)。結果如圖3e所示,可以觀察到每條曲線的三個陽極峰和相應的陰極峰。CV曲線顯示,與SC-Ni90相比,SC-Ni90-0.2%S的陽極峰(對應于2.12V(vs. LTO)下的H1-M相變)移動到較低的電壓。該偏移表面在初始充電階段期間極化的減少和H1-M相變的改善。這種現象可歸因于SC-Ni90-0.2%S的鋰擴散系數升高(如圖6所示)。在0.3 C下進一步評估了這三種材料的循環性能(圖3f)。如圖3f所示,在兩次循環活化后,原始樣品的放電容量約為170 mAh g−1,而SC-Ni90-0.2%S和SC-Ni90-0.5%S的放電容量顯著增加至約187 mAh g–1和183 mAh g-1。值得注意的是,在100次循環后,SC-Ni90-0.2%S 全固態電池具有最小的容量衰減,表明在電化學過程中SC-Ni90-0.2%S和LPSC之間的界面穩定性得到了改善。這種效應可歸因于表面涂層穩定的正極和硫化物界面。

圖4.(a-c)不同循環下硫化物ASSB中SC-Ni90和SC-Ni90-S的充電/放電曲線。(d)SC-Ni90和SC-Ni90-S在硫化物ASSB中在1 C下的長循環性能。(e-g)在不同循環次數下硫化物ASSB的SC-Ni90與SC-Ni90-S的奈奎斯特圖。
為了研究三種正極在更高電流密度下的電化學性能,在0.1 C下兩次循環活化后,在1 C下測試上述正極的長循環性能。圖4a-c分別顯示了三種正極的充放電曲線。盡管由于電流密度的增加,充放電比容量與0.1 C時相比有所降低,但充放電曲線的形狀和變化趨勢在圖4a-c中非常相似。值得注意的是,與其他兩種正極相比,在相同的水平坐標范圍內,經過500次循環后,SC-Ni90-0.2%S正極的容量衰減最小。此外,與第三次循環相比,原始SC-Ni90電極在第500次循環時顯示出更大的極化電壓(圖4a),而SC-Ni90-0.2%S電極在第500th循環時沒有觀察到明顯的極化電壓。這種改進的循環穩定性是由于SC-Ni90-0.2%S正極和硫化物SE之間通過表面涂層策略增強的界面穩定性。如圖4d所示,原始SC-Ni90、SC-Ni90-0.2%S和SC-Ni90-0.5%S正極在1C下的初始放電容量分別為137.4、172.8和153.4 mAh g-1。值得注意的是,即使使用0.2和0.5 wt.%的這些小的包覆量,也實現了容量的明顯增加。此外,三種正極的循環性能表現出以下模式:SC-Ni90-0.2%S>SC-Ni90-0.5%S>SC-Ni90。具體而言,SC-Ni90正極具有明顯的容量衰減,容量保持率為68.3%。相比之下,SC-Ni90-0.2%S正極不僅顯示出172.8 mAh g−1的容量,而且在500次循環后顯示出86.9%的容量保持率。這再次證實了硫化物表面涂層策略可以有效地提高SC-Ni90在硫化物ASSB中的電化學性能。這些正極在第3次、第200次和第400次充電循環時獲得的電化學阻抗譜(EIS)結果如圖4e-g所示。圖中的半圓形狀表示電荷轉移電阻,主要源于SC-Ni90正極和硫化物SE之間的界面電阻。如圖4e-g所示,從第3次循環到第400次循環,原始SC-Ni90正極的界面阻抗表現出顯著增加。相反,SC-Ni90-0.2%S正極顯示出最低的界面阻抗,而SC-Ni90-0.5%S正極的界面阻抗在第3次、第200次和第400次循環后是中等的。出現這種差異是因為適當厚的涂層可以顯著改善正極與硫化物SE界面反應,從而增強循環穩定性。然而,SC-Ni90-0.5%S上的涂層的顯著厚度阻礙了Li離子在延長循環期間的有效傳輸,從而降低了循環穩定性。

圖5.(a-c)硫化物ASSB中SC-Ni90和SC-Ni90-S在不同質量負載下的充電/放電曲線。(d-f)面容量與質量負載的關系。(g-i)SC-Ni90和SC-Ni90-S的放電容量。
SC-Ni90-S正極不僅能夠實現優異的倍率性能和超高的電流密度,而且能夠實現高質量負載的CAM。如圖5所示,組裝了具有不同正極活性材料質量負載的ASSB。充放電測試在55 °C、1.3–2.8 V(vs. LTO)的電壓范圍內進行。圖5a-c示出了具有不同質量負載的三個正極的充放電曲線。可以清楚地觀察到,隨著質量負載的增加,放電容量減小。此外,如圖5d-f所示,原始SC-Ni90、SC-Ni90-0.2%S和SC-Ni90-0.5%S在63.67mg cm-2的質量負載下分別表現出9.46、11.44和10.58 mAh cm-2的面積容量。值得注意的是,當質量負載達到63.67 mg cm-2時,SC-Ni90-0.2%S ASSB顯示出172.8 mAh g-1的最高平均放電容量,而SC-Ni90-0.5%S和原始SC-Ni90的平均放電容量分別為165.7和148.4 mAh g-1(見圖5g和h)。因此,本工作中報道的硫化物涂層技術和獲得的SC-Ni90-0.2%S對于具有高面容量的ASSB具有很大的商業應用前景。

圖6.(a-c)SC-Ni90和SC-Ni90-S在硫化物ASSB中在不同掃描速率下的CV曲線。(d) CV中的峰值電流(ip)與掃描速率的平方根(v1/2)的關系。
圖6a-c示出了在不同掃描速率下的CV測試,以解釋不同正極的倍率性能和長循環性能的差異。可以看出,氧化還原峰的峰值電流隨著掃描速率的增加而連續增加,并且氧化/還原峰的位置逐漸向較高/較低的電勢移動,這與極化電壓隨著電流密度的增加而增加的現象一致。從曲線中可以明顯看出,SC-Ni90-0.2%S在0.05至0.4 mV/S的不同掃描速率下產生最小的相變(H1-M)電勢差,從而指示小極化。通過改變掃描速率可以獲得不同的峰值電流,擴散系數可以通過Randles-Sevcik方程獲得:

其中ip是以安培為單位的最大電流;n是氧化還原事件中轉移的電子數;A是電極面積,單位為cm2;F是法拉第常數;D為擴散系數,單位為cm2 s-1;C為濃度,單位為mol cm-3;v是掃描速率,單位為Vs-1;R是氣體常數,單位為J K-1 mol-1;T是溫度,單位為K。圖4d顯示了峰值電流(ip)和掃描速率平方根(v1/2)之間的線性關系。SC-Ni90-S的擬合線的斜率大于原始SC-Ni90的擬合線,表明硫化涂層后Li離子的擴散系數更大。這是因為在SC-Ni90正極和硫化物SE之間構建了穩定的界面,從而促進了離子遷移。此外,SC-Ni90-0.5%S的擬合線的斜率小于SC-Ni90-0.2%S的匹配線的斜率,表明厚涂層阻礙了Li離子的傳輸并降低了鋰離子的擴散系數。
【總結】
硫化涂層方法可以顯著提高復合正極的電荷傳輸能力,并抑制SC-Ni90正極與硫化物SE之間的界面副反應。SC-Ni90-0.2%S表現出優異的電化學性能,包括在1C下500次循環的87%的容量保持率,11.44 mAh cm-2的高面容量,以及極高電流密度(20 C)。本研究中采用的策略為硫化物ASSB的高能量密度正極材料的設計提供了有價值的見解,并可作為該領域未來的指導方針。
(中國粉體網編輯整理/蘇簡)
注:圖片非商業用途,存在侵權告知刪除!
















