中國粉體網訊 電子信息技術的突飛猛進,加快了電子元器件升級換代的速度。高性能電子陶瓷材料及無源電子元件是電子產品重要的實體,在信息產業中的地位不亞于鋼鐵在傳統工業中的地位,其發展具有重要的戰略意義。MLCC是世界上用量最大、發展最快的片式元件之一,在陶瓷電容器中產值占比超過90%。其具有容量范圍寬、頻率特性好、工作電壓和工作溫度范圍寬、超小體積、無極性等優良特性,且應用領域極其寬泛。
近日,深圳先進電子材料國際創新研究院(簡稱“深圳電子材料院”)在MLCC領域取得系列進展。
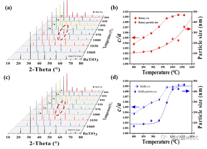
采用兩步煅燒結合回轉爐煅燒的方法合成BaTiO3超細粉體
近年來,隨著電子設備及其元器件的小型化、高可靠性、薄型化和低成本化,介質材料的晶粒尺寸不斷向納米級別發展。對MLCC而言,實現高容量、小型化、薄層化和高可靠性等性能要求的基礎是減小基料鈦酸鋇(BaTiO3,BT)的粒徑尺寸,即粉體超細化。為實現MLCC的這些性能需求,基料BT的晶粒尺寸需要控制在 200nm 以下。目前,超細BT的合成方法包括水熱法、固相法、溶膠-凝膠法、熔鹽法等。其中,水熱法和固相法是工業中常用的兩種工藝。但是,水熱法合成BT的步驟復雜、成本高、廢液處理復雜,產品易存在羥基缺陷,且該方法的合成條件控制苛刻,技術壁壘高。固相法則以其成本低、工藝簡單、合成的BT粉體缺陷少、結晶度高的優勢成為工業中最常用的工藝,但傳統固相法由于較高的煅燒溫度(>1000°C)常導致BT粉體的粗晶化和團聚化。因此,工業上急需一種經濟實用的生產超細原料粉體的手段。
在此背景下,深圳電子材料院張蕾副研究員團隊成功采用兩步煅燒結合回轉爐煅燒的方法合成了顆粒均勻、高四方性的BaTiO3超細粉體。反應動力學研究發現,回轉爐提高了固相反應的傳熱效率,增加了Ba2+和Ti4+的點接觸面積,降低了兩者的擴散速率,使擴散成核生長速率大于BaCO3的分解速率,從而提高了Ba2+和Ti4+的反應活性,進而提高BaTiO3粉體的四方性。通過優化工藝、理解反應機理,采用兩步輔助回轉爐煅燒法成功地制備了平均粒徑為250nm、四方度(c/a)為1.0096的BaTiO3超細粉體。該工作克服了固相高溫煅燒引起的粗結晶和團聚問題,提高了粉體的四方性,為固相法生產高四方性BaTiO3超細粉體提供了新思路。

固相反應過程示意圖與性能對比
該研究成果以“Fabrication of BaTiO3 nanopowders with high tetragonality via two-step assisted rotary furnace calcination for MLCC applications”為題發表于材料領域期刊Ceramics International上,該研究論文的第一作者為電子材料院電介質材料研究中心欒賽偉(碩士研究生在讀),共同通訊作者為電子材料院張蕾副研究員和廣東風華高新科技股份有限公司付振曉高級工程師。
晶粒尺寸和晶粒均勻性對超薄MLCC直流偏置特性和可靠性影響
目前,隨著5G通信網絡和電動汽車的快速發展,迫切需要超薄MLCC在各種直流偏壓和頻率下具有優異介電性能和優越可靠性。然而目前還缺乏針對晶粒尺寸和晶粒均勻性對超薄MLCC直流偏置特性和可靠性影響的系統研究。
在此背景下,深圳電子材料院張蕾副研究員團隊聯合清華大學和廣東風華高新科技股份有限公司的研究人員討論了晶粒尺寸均勻性在超薄介電層中的重要作用,并指出了在BaTiO3基超薄多層電容器中獲得高直流特性和可靠性的途徑。該團隊成功制造出具有不同晶粒尺寸的超薄(厚度約1μm)X5R BaTiO3基MLCC。結果表明,由于直流偏置場增大時較低比例的不可逆疇壁運動導致的更低空間電荷極化和更小介電損耗,平均晶粒尺寸為(240±76)nm的MLCC芯片在不同頻率下表現出更高的溫度穩定性。并且,均勻結構樣品中晶界的高密度和氧空位濃度可以有效提高擊穿強度。因此,具有均勻結構的樣品表現出4900的高介電常數、63.74MΩ的高電阻率和6426h的理論壽命。

圖注:(a)直流偏壓場的介電常數依賴性(插入:8-10V/μm),(b)P-E環路,(c)可逆和(d)不可逆FORC分布的演化,(e)超薄MLCCs芯片的TEM圖像。
該研究成果以“Importance of uniformity of grain size to reduce dc degradation and improve reliability of ultra-thin BaTiO3-based MLCCs”為題發表在Ceramics International上,該研究論文的第一作者為深圳先進電子材料國際創新研究院電介質材料研究中心蔣坤倫(碩士研究生在讀),共同通訊作者為先進電子材料國際創新研究院張蕾副研究員和清華大學深圳國際研究生院李勃研究員。
信息來源:深圳先進電子材料國際創新研究院、電介質MLCC
(中國粉體網編輯整理/山川)
注:圖片非商業用途,存在侵權告知刪除
















