中國粉體網訊 通過對納米鈷粉國內外研究及發展的了解,雖然目前制備納米鈷粉的方法很多,但是制備出來的納米鈷粉大多為不規則形狀。相比較之下,球形粉體顆粒粒徑較小且分布均勻,表面形貌規則,粉體的堆積密度顯著增大,可以很大程度上改善粉體的流動性和分散性,最大限度地消除團聚的影響,同時粉體內部的缺陷得到改善。針對這些情況,本文主要簡述幾種制備球形或近球形納米鈷粉的方法。
1 球形鈷粉與納米鈷粉
隨著工業和科技的迅速發展,各行業對鈷粉質量的要求也越來越高。例如在硬質合金中,為了避免所謂的“硬質合金病”[3],提高硬質合金的性能,要求雜質及氧含量低、粒度小的球形鈷粉。
球形鈷粉具有更好的流動性、更高的填充密度、更低的孔隙度和相對摩擦因數,當與碳化鎢混合時,表現出良好的可混性,使硬質合金組織結構更均勻、致密化[4]。
納米鈷粉具有催化活性高、表面活性大、燒結性能好、飽和磁化強度高、矯頑力大等優點,廣泛應用于硬質合金、磁性液體、永磁材料、電池、金剛石刀具制造等行業,并且在陶瓷、催化、磁性材料、貯氫合金電極以及特種涂層等領域表現出許多優異的性能。
如硬質合金中摻入納米鈷粉,其耐磨性與抗裂性大大提高,斷裂強度、硬度和密度等綜合性能得到極大改善。納米鈷粉可以顯著改善陶瓷材料的顯微組織,優化其性能。納米鈷粉壓成塊材后,其顆粒之間界面具有高能量,在較低溫度下燒結就能達到致密化,因此特別適用于電子陶瓷的制備。此外納米鈷粉對外界環境(如溫度、光、濕氣等)十分敏感,其表面或表面離子價態和電子運輸會隨外界環境改變迅速發生變化,從而引起電阻的顯著改變,這使其在傳感器方面得到廣泛應用[1.2]。
目前制備納米鈷粉的方法很多,但是制備出來的納米鈷粉形狀大多為不規則針棒狀、樹枝狀、片狀等[5]。以下簡述幾種制備球形或近球形納米鈷粉的方法。
2 制備方法
2.1 氫還原碳酸鈷法
張宇奇等[6]以六水合氯化鈷(CoCl2·6H2O)和碳酸氫氨(NH4HCO3)為原料,乙二醇(EG)為溶劑,聚乙烯吡咯烷酮(PVP)K30為表面改性劑,制得球形碳酸鈷粉末;然后以氫氣為還原劑,還原碳酸鈷制得超細球形鈷粉,圖1為該反應的工藝流程圖[7]。

圖1 氫還原碳酸鈷制備球形超細鈷粉工藝流程圖
實驗表明:
(1)當溶劑體系乙二醇含量為50%,表面活性劑PVP含量為2.0%,反應壓力為3MPa,反應溫度為200℃時,得到的CoCO3顆粒小、顆粒間間隙明顯、分散性良好。
反應原理:
CoCl2·6H2O(l) → Co2++2Cl-+6H++6OH-
NH4HCO3(l) → NH4++H++CO32-
Co2++CO32- → CoCO3(s)
PVP分子吸附于CoCO3晶體表面,導致其各個晶面受到的外力發生變化,生長速率趨于一致,CoCO3的形貌由粗糙的近球形轉變為光滑的球形顆粒;另一方面,由于乙二醇和表面活性劑分散在CoCO3顆粒間,形成阻隔作用,使得CoCO3顆粒不再長大。最后使用蒸餾水和乙醇洗滌除去表面活性劑,得到粒徑較小、純度較高的CoCO3。
(2)當反應溫度為480℃,反應時間為2h時,氫氣還原碳酸鈷制得的鈷粉形貌為類球形,顆粒分布均勻,超過90%的鈷粉粒徑分布在0.40~0.85μm范圍內,鈷粉的一次顆粒平均粒徑為0.74μm。
反應原理:
CoCO3(s) → CoO(s)+ CO2(g)
Co3O4(s)+H2(g) →3 CoO(s)+H2O(g)
CoO(s) +H2(g) → Co(s)+H2O(g)
CoCO3(s)+6H2(g) → Co(s)+3H2O(g)
2.2 直流電弧等離子體蒸發法
蒙海寧等[1]利用自行研制的高真空三槍直流電弧等離子體蒸發金屬納米粉連續制備設備,如圖2所示。在制備工藝參數為:陰極電流650A,充氣壓力0.08MPa,氫氬體積比2:3時,制備的納米鈷粉顆粒呈球狀,顆粒細小均勻,表面光潔,粒度分布窄,鈷粉平均粒徑為48nm,樣品中的金屬鈷含量為99.923%,具有很高的純度,其比飽和磁化強度達到139.49A·m2/kg。

圖2 高真空三槍直流電弧等離子體蒸發金屬納米粉連續制備設備簡圖
制粉前,檢查閥門的開啟狀況,然后將鈷錠放入坩堝,密封設備之后采用真空泵抽真空至1MPa,按照2:3的體積比充入氫氣和氬氣。隨后調節電弧間距,使得在兩極之間產生高溫等離子體。鈷錠被等離子體迅速加熱熔化,蒸發形成金屬鈷蒸氣并隨風機產生的循環氣體飛散至收粉室。金屬鈷蒸氣與惰性氣體分子相互碰撞,迅速損失能量并冷卻成核、生長,最后冷凝沉積形成松散的粉末。實驗結束后,熄滅電弧,待其冷卻后充入氬氣至常壓,鈍化一段時間后收集粉末。
2.3 溶劑熱法
步紹靜等[8]采用六水合氯化鈷(CoCl2·6H2O)為鈷源,水合肼(N2H4·H2O)為還原劑,通過溶劑熱法在乙二醇體系中制備鈷粉,并引入AgNO3·6H2O形核劑來降低顆粒尺寸,成功制備出了粒徑在100nm以下的超細鈷粉。鈷顆粒呈規則的球形,分散性良好,并顯示出優異的軟磁性能。
反應機理如下:
Co2++6HOCH2CH2OH → Co(HOCH2CH2OH)62+
Co(HOCH2CH2OH)62++6N2H4 → Co(N2H4)62++6HOCH2CH2OH
Co(N2H4)62++HOCH2CH2OH+12OH- → Co↓+N2↑+HOOCCOOH+35N2H4+10H2O
由于零價Co的形成在熱動力學上具有較高的能量勢壘,導致Co2+的還原過程較為復雜。因此,體系中引入形核劑以提高Co的形核率進而降低Co顆粒的尺寸。對于金屬離子而言,還原電位越負表示離子結合電子轉變為零價金屬的能力愈弱,即電位越負金屬離子的還原反應越難進行。Ag+的標準電極電位φAg+/Ag=0.80V,遠高于Co2+的電極電位φCo2+/Co=-0.28V。因此,當還原性溶液中同時含有Co2+和Ag+時,Ag+將優先發生還原反應轉變為零價Ag。而這些被還原出來的Ag0可作為形核中心,極大地降低Co的臨界形核功,促進其異質形核過程,最終導致晶粒尺寸減小。
前驅體中Ag+的添加量和溶劑熱溫度對Co顆粒的磁強度和矯頑力都有一定程度的影響。n(Ag+):n(Co2+)=1:100的前驅體溶液在160℃下溶劑熱反應2h后,可以得到分散性良好的球形超細(<100nm)Co顆粒。
2.4 液相還原法
任嬌等[2]以硫酸鈷為原料、硼氫化鈉(溶于NaOH溶液中)為晶核引發劑、水合肼作還原劑、PVP為分散劑,采用液相還原法制備納米鈷粉。
反應機理:
Co2++2NaOH → Co(OH)2↓+2Na+
Co(OH)2+2NaOH → Co(OH)42-+2Na+
2Co(OH)42-+N2H4·H2O → 2Co↓+N2↑+5H2O+4OH-
研究發現:此方法可制備出粒徑均勻、分散性良好的納米鈷粉,適宜條件下,所得鈷粉粒徑約為55nm。在溶液中,NaBH4具有很強的還原能力,能與CoSO4發生劇烈反應,最佳用量為0.4g/L。溫度對鈷粉粒徑影響較大,以40~45℃為宜,超過50℃,粉末會出現團聚現象。隨體系pH、Co2+濃度提高,鈷粉粒徑減小,以pH=10、Co2+濃度0.04mol/L為最佳。
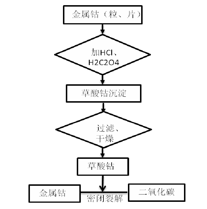
2.5 真空熱裂解法
在生產硬質合金用鈷粉工藝領域中,真空熱裂解法是國際上較流行且相對成熟的方法。其基本原理如圖3所示:采用純鹽酸溶液將高純的電解鈷片或鈷粒溶解成含有鈷離子的溶液,然后向溶液中加入工業用草酸或草酸氨,草酸根離子遇到鈷離子發生反應,生成白色沉淀物草酸鈷,再將草酸鈷干燥脫水。干燥是此工藝的關鍵過程,應準確控制溫度,確保脫除草酸鈷中全部結晶水,而又不致使料層表面氧化變為氧化鈷。一般在190~200℃干燥2h,即可達此目的。最后將草酸鈷置于隔絕空氣的密閉容器中裂解成鈷粉和二氧化碳。該工藝生產鈷粉因不用H2而使得生產成本大大降低,李維等[9-10]以此方法可以制得粒度為30nm的呈球形或類球形的鈷粉。

圖3 真空熱裂解法制備超細鈷粉示意圖
采用此法生產鈷粉不僅對環境沒有造成污染,而且大大降低了生產的成本。鈷粉純度高、粒度細小,形貌為球形或類球形,滿足硬質合金生產的需要,可以提升硬質合金產品的綜合性能。據報道,世界上提供硬質合金用鈷粉最大工廠之一的芬蘭Outokumpu Kokkolar廠最早使用此方法生產鈷粉,每年約生產300噸超細鉆粉用于硬質合金生產。
2.6 多元醇法
將鈷的固體化合物懸浮在一種液體多元醇中,然后將懸浮體加熱到一定溫度,在大多數情況下能夠達到液相的沸點,于是這些初始化合物進行還原產出金屬鈷粉。多元醇的作用是作為液相使初始化合物處于懸浮態;其次,它還是一種溶劑和還原劑。該工藝制得的鈷粉的主要特征是球形、粒度均勻而細微;另一個特點還在于生產工藝簡單易行,生產原料多種多樣,產品粒度可以調節控制[11-12]。
劉飚等[13]利用多元醇法制備出粒度均勻的球型β相納米鈷粉,粒度可以達到10nm左右,且分散性較好。
多元醇法還原制備Co納米粉的反應大致分3步進行:①前驅物CoCl2在醇中溶解;②中間產物在液相中溶解釋放Co2+;③Co2+被還原和Co晶核的聚集長大。
NaOH在反應中的作用非常重要:它首先與前驅體CoCl2反應生成活性中間體,該中間體在體系中的溶度積是控制還原反應進程的關鍵因素;其次,根據 Lewis酸堿理論,酸和堿是許多反應的催化劑,其實質就是質子的轉移,它們的作用常常是降低反應的活化能從而加速反應。
2.7 γ射線輻照法
此法為先配制一定濃度的鈷溶液,加入適量異丙醇和聚乙烯醇分別作為自由基清除劑和分散劑,用醋酸和NaOH調節pH值,再將配制好的溶液進行超聲脫氣處理并通入氮氣降低溶液中的氧含量,然后進行γ射線輻照,射線輻照用劑量率為70Gy/min的鈷源,輻照后按常規方法收集。陳祖耀等[14]人用γ射線輻照,直接從水溶液中制備出平均粒徑為30nm的超細金屬Co粉。該法制備條件容易控制,所得的超細鈷粉粒度分布窄、抗氧化性強、生產率高,但對設備要求高、成本高,因而不易實現工業化生產。
3 總結與展望
鈷粉的應用范圍越來越廣泛,鈷粉的消耗量也迅速提升,這就對原料鈷粉的性能要求越來越嚴格,而鈷粉的純度、粒度及形貌直接影響著后續產品質量[15]。納米鈷粉,尤其是球形納米鈷粉,代表著鈷粉新產品的發展方向。
我國目前在鈷粉研究及生產方面存在以下問題:
①生產的納米鈷粉形狀不規則,沒有較好的制備方法能夠精準控制合成納米鈷粉的形貌,球形納米鈷粉的生產工藝極少;
②部分研究可以制備出納米球形鈷粉,但僅僅停留在實驗階段,因工藝復雜、條件苛刻、成本高、參數難以控制等因素無法實現工業化生產,甚至無法再現實驗;
③純度低;
④材料利用率低,在環保、綠色、節能方面有所欠缺。
鑒于我國鈷粉生產裝備落后及產品質量不高的情況,應該增加科技創新力度、加快鈷粉生產技術革新、改進鈷粉生產工藝裝備、提高鈷粉質量,從而提升我國鈷粉的檔次;使鈷粉生產連續化、規模擴大化,降低鈷粉生產成本,并符合環境保護的要求。如此才能走出我國鈷粉產業的困境,滿足工業發展和科技進步對鈷粉的需求,從而跨入世界先進行列[15-16]。
參考文獻:
[1]蒙海寧,趙芳霞,張振忠.納米鈷粉的制備及其在乙醇中的分散性能[J].中南大學學報(自然科學版),2012,8(43).
[2]陳青林.我國鈷粉的生產現狀和技術進展[J].稀有金屬與硬質合金,2001,(146).
[3]任 嬌,何 剛,金永中,陳 建,梁家寧,曾 俊.液相還原法制備納米鈷粉試驗研究[J].濕法冶金,2018,1(37).
[4]吳愛華,唐建成,覃德清,雷純鵬.硬質合金用鈷粉的發展現狀[J].江西科學.2014,4(32).
[5]張傳主,任沖,袁佩青,程振民,袁渭康.納米至亞微米級鈷顆粒的合成與表征[J].華東理工大學學報(自然科學版).2015,5(41).
[6]張宇奇,吳家景,陳新貴,吳愛華,葉 楠,高自立,唐建成.高壓合成球形碳酸鈷粉以及超細球形鈷粉制備研究[J].江西科學.2018,5(36).
[7]吳家景.球形超細/納米鈷粉的制備工藝及機理[D].江西:南昌大學材料科學與工程學院.2018.
[8]步紹靜,李 丹,李世泰,韓續豪,孫繼兵,崔春翔.溶劑熱法制備超細鈷粉及其機理研究[J].功能材料.2017,1(48).
[9]李 維,趙秦生.真空熱分解法制備硬質合金用鈷粉[J].中國有色金屬學報.1998,1(8).
[10]李 維,趙秦生,吳恩熙.硬質合金用納米鈷粉的制備及表征[J].粉末冶金材料科學與工程.1997.(3):013.
[11]楊聲海,楊建廣,張保平等.多元醇還原制備球形超細鈷粉[J].吉首大學學報,2004, 25(4):30-34.
[12]羅振勇,劉志宏.金屬鈷粉的制備及應用[J].粉末冶金工業.2008,2(18).
[13]劉 飚,官建國,王 琦,張清杰.多元醇還原制備Co納米粉產品表征及機理研究[J].化學工程,2005,4(33).
[14]陳祖耀,張國春,朱玉瑞.金屬Co超細粉的γ射線輻射制備[J].金屬學報.1997. 33(10).
[15]沈 偉,劉佳莉,趙博文,周 興.金屬鈷基微納米材料研究現狀及發展[J].應用化工.2018,4(47).
[16]徐 斌,王成均,呂小剛.鈷粉生產技術研究進展[J].粉末冶金技術.2010,3(28).





















