中國粉體網訊 描述顆粒幾何特征有兩個基本參數,一個是顆粒的大小(粒度),另一個則是顆粒的形狀。顆粒的形狀是多種多樣、千差萬別的。
表1 顆粒形狀的定義

顆粒的形狀影響著粉體的一些重要的性質,如粉體的表面面積、流動性、堆積性、附著性、流體透過阻力、化學反應活性和填充材料的增強、增韌性等。因此,對粉體顆粒形狀進行表征和測量就顯得尤為重要。
表2 某些工業產品對粉體材料顆粒形狀的要求

1.粉體顆粒形狀的表征
定量評定顆粒的形狀有兩種觀點:一種認為應該從測定數據中有可能恢復原來的顆粒的形狀;另一種是顆粒的實際形狀并不重要,而所需要的是用于以比較為目的的數字。這兩種觀點比較有代表性的方法分別是上世紀70年代由Schwarez等人提出的顆粒輪廓的Fourier展開法和工程中常采用的形狀因子法。
Fourier展開法
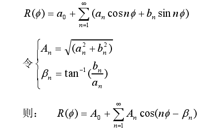
Fourier展開法包括找出顆粒的輪廓和重心,從而建立極座標系統。
顆粒輪廓的方程式:

其中R(∅)表示顆粒輪廓在極角∅處的半徑,n表示Fourier系數的階數。
各階Fourie系數An有一定的幾何意義,特別是低階系數表示出顆粒外形輪廓的主要特征。如:A0表示一個圓的平均半徑,A1表示偏心度,A2表示橢圓度,A3表示三角度,A4表示正方度。更高階系數反映了顆粒輪廓的更精細的圖像特征,如表面粗糙度,活性等。
形狀因子法
形狀因子法是用某個量的數值來表征顆粒的形狀。形狀因子又分為形狀系數和形狀指數兩種形式。
形狀系數:形狀系數是以顆粒幾何參量的比例來表示顆粒與規則體的偏離程度。設顆粒的直徑為D,體積為V,表面積為S,常用的幾種顆粒的形狀系數如表3所示。
表3顆粒形狀系數

表中Carman形狀系數φc是與顆粒層流動阻力有關的形狀系數,被定義為:

形狀指數:形狀指數是以顆粒外截形體幾何參量的無因次數組來表示顆粒的形狀特征。顆粒的各種形狀指數如表4所示。
表4顆粒的各種形狀指數

2.粉體顆粒形狀的測量
顆粒形狀的測量方法有利用光的波動特性的直觀成像法,比較法,以及光散射法等。
直觀成像法非常形象直觀,通常圖像分析儀系統由光學顯微鏡(或電子顯微鏡)、CCD攝像機、圖像卡、微型計算機等構成。顯微鏡法是測量亞微米顆粒粒徑、粒度分布和顆粒形狀的最基本方法。
運用圖像法表征顆粒形狀的儀器比較多,較好的供應商有丹東百特、英國馬爾文、濟南微納、珠海歐美克、成都精新、丹東匯美科等。

BT-2800動態圖像粒度粒形分析系統
來源:丹東百特儀器有限公司

分析原理
來源:丹東百特儀器有限公司
比較法通過利用不同原理的粒度儀的測量徑的差異來間接表征顆粒的形狀。有人用沉降法和激光法測的顆粒粒徑的比值表征顆粒的形狀。
光散射法用來研究顆粒的形狀起源于人們對于光散射法粒度儀普遍采用均勻球形顆粒模型的質疑。不同形狀的顆粒有著不同的光散射譜,那么顆粒的光散射譜應該包含顆粒的形狀信息。
基于光的散射理論的顆粒測量方法就叫做光散射法,光散射法是目前應用最廣泛的一種測量方法,具有適用性廣、粒徑測量范圍寬、測量速度快、準確性高、重復性好、儀器自動化和智能化程度高、所需物理參量少、能在線測量等優勢,是目前使用最廣泛的一種顆粒測量方法。
光散射測量顆粒的方法很多,分類方式也不盡一樣,有動態光散射法、小角前向散射法、角散射法、激光全息測量法、全散射法等。其中,小角前向散射法又稱為衍射散射法,它是各種散射式顆粒測量儀中應用最廣泛,發展最為成熟的一種。

Sals小角激光散射圖像儀
來源:丹東百特儀器有限公司
運用光散射法表征顆粒的形狀的深入研究雖然起步較晚,但近年來在國際上已蓬勃開展起來。
參考資料:
王清華.光散射法顆粒大小與形狀分析
張傳武.采用新型CMOS的光散射法顆粒測量研究
楊華明,陳德良.非金屬礦物加工理論與基礎
丹東百特儀器有限公司官網
(中國粉體網編輯整理/黑金)
注:圖片非商業用途,存在侵權告知刪除!
















